Quality of life of patients with complete loss of teeth and psychometric properties of the OHIP-20 DG questionnaire. Part 4. Evaluation of the parameters using a nonlinear principal components analysis by the CatPCA algorithm
- Authors: Muslov S.A.1, Nokhrin D.Y.2, Arutyunov S.D.1, Chizhmakov E.A.1, Pivovarov A.A.1, Platonova M.S.1
- 
							Affiliations: 
							- A.I. Evdokimov Moscow State Medical and Dental University
- Chelyabinsk State University
 
- Issue: Vol 25, No 6 (2021)
- Pages: 495-503
- Section: Experimental and Theoretical Investigation
- Submitted: 12.05.2022
- Accepted: 02.07.2022
- Published: 22.07.2022
- URL: https://rjdentistry.com/1728-2802/article/view/107459
- DOI: https://doi.org/10.17816/1728-2802-2021-25-6-495-503
- ID: 107459
Cite item
Abstract
BACKGROUND: The study researched the structure of the OHIP-20 DG questionnaire, which was compiled from the questions of the validated international special questionnaire OHIP-49, to assess the patients’ quality of life depending on their mouths’ organs and tissue with the help of сategorical principal component analysis.
PURPOSE OF THE STUDY: Reduce the original set of variables to an uncorrelated variables that carry the bulk of the information contained in the original set.
MATERIAL AND METHODS: To determine the connections between the scales of the quality of life (QoL) questionnaire OHIP-20 DG and to assess the factor validity of the latter, data reduction with generalization procedure was conducted by the method of nonlinear principal component using the CatPCA algorithm.
RESULTS: All scores from 0 to 4 were smoothed by a second-degree polynomial spline with three internal knots and ranking as a discretization method. To determine the number of necessary and sufficient components, Cattell’s scree plot and broken stick criteria were used. Calculations were performed using the IBM SPSS Statistics package (version 20), graphical constructions in the KyPlot (version 6.0), and PAST (version 4.06) packages.
CONCLUSION: The factor structure of the questionnaire was explored using CatPCA algorithm of nonlinear principal component analysis. The analysis confirmed the factor validity of the OHIP-20 DG questionnaire, but found two weak structural elements that are not related to the QoL, but most likely have a connection with the psychosocial aspects of patients’ health. Comparison of the questionnaires’ initial scores with their quantification values revealed the nonlinearity of patients’ perception of most of the questionnaire items. Which allows for a broader interpretation of the patterns of patients’ perception of QoL and further improvement of the questionnaire.
Full Text
АКТУАЛЬНОСТЬ
Исследована структура опросника OHIP-20 DG — одной из систем, составленных из вопросов валидизированного международного специального опросника OHIP-49 [1, 2], для оценки влияния здоровья органов и тканей рта пациентов на удовлетворенность качеством жизни (физическим, психологическим, эмоциональным и социальным функционированием) с помощью категориального анализа главных компонент. Эта процедура одновременно представляет категориальные переменные в количественном виде и сокращает размерность данных. Категориальный анализ главных компонент известен также под аббревиатурой CatPCA (Categorical Principal Components Analysis).
Цель анализа главных компонент — сократить исходный набор переменных до меньшего набора некоррелированных переменных, которые несут основную часть информации, заключающуюся в исходных переменных. Этот метод наиболее полезен, когда из-за большого числа переменных затруднена эффективная интерпретация связей между объектами (предметами и элементами). Сокращение размерности позволяет интерпретировать уже не большое количество переменных, а всего несколько компонент [3, 4].
РЕЗУЛЬТАТЫ НЕЛИНЕЙНОГО АНАЛИЗА ГЛАВНЫХ КОМПОНЕНТ
Классический анализ главных компонент РСА (Principal Component Analysis) базируется на корреляции Пирсона и является параметрической техникой. Для получения в результате анализа неискаженного решения он требует многомерного нормального распределения и линейных связей. В то же время данные опросника представлены порядковой шкалой от 0 («пациент постоянно испытывает проблемы, снижающие качество жизни») до 4 («пациент никогда не испытывает проблем»), причем о линейности связей ничего не известно. Поэтому нами был использован нелинейный вариант РСА, называемый также оптимальным шкалированием, который был проведен по алгоритму CatPCA. [5]. Данная техника состоит из нескольких этапов. На первом этапе проводится многомерное преобразование данных по Джифи, которое оцифровывает качественные и порядковые показатели, а также преобразует количественные показатели так, чтобы связи между показателями в наборе были максимально взаимно линейными [6, 7]. На втором этапе на оцифрованных таким образом показателях проводится обычный анализ главных компонент. В результате нелинейность связей между показателями оказывается полностью учтенной и не уходит в ошибку анализа, как в случае классического PCA, а также становится возможным задействовать в анализе главных компонент одновременно показатели, измеренные в разных шкалах [5, 7]. По результатам такого анализа принимается решение о необходимом количестве латентных переменных, а далее возможен третий, окончательный, этап, когда анализ проводится еще раз, но с выделением не всех, а выбранного числа компонент, как и в факторном анализе. В отличие от обычного PCA при этом происходит частичное перераспределение дисперсии с оставшихся компонент на выбранные, что увеличивает долю объясняемой ими дисперсии, а также имеется возможность вращения решения, как и в факторном анализе [8, 9]. Данной техникой, но без использования вращения, нами были проанализированы 20 вопросов опросника OHIP-20 DG [2]. В соответствии с табл. 1 для обозначения пунктов опросника использовали сокращения. Ограничение функции: ОФ_1, ОФ_2, ОФ_3; физический дискомфорт: ФД_4, ФД_5, ФД_6, ФД_7; психологический дискомфорт: ПД_8, ПД_9; физические расстройства: ФР_10, ФР_11, ФР_12, ФР_13; психологические расстройства: ПР_14, ПР_15; социальная дезадаптация: СД_16, СД_17, СД_1; ущерб: У_19, У_20.
Таблица 1. Нагрузки показателей опросника OHIP-20 DG на три главные компоненты (ГК), выделенные методом CatPCA / Table 1. Loadings of the OHIP-20 DG questionnaire’s indicators for the three principal components (PC) extracted by the CatPCA method
| Сфера качества жизни | Вопрос | ГК 1 | ГК 2 | ГК 3 | Общность | 
| Ограничение функции | 1 | 0,819 | 0,219 | 0,280 | 0,797 | 
| 2 | 0,511 | 0,222 | 0,041 | 0,312 | |
| 3 | 0,636 | 0,055 | –0,046 | 0,410 | |
| Физический дискомфорт | 4 | 0,682 | –0,016 | –0,492 | 0,707 | 
| 5 | 0,318 | –0,494 | –0,288 | 0,429 | |
| 6 | 0,471 | –0,217 | –0,069 | 0,274 | |
| 7 | 0,539 | –0,056 | –0,376 | 0,436 | |
| Психологический дискомфорт | 8 | 0,472 | –0,322 | 0,351 | 0,450 | 
| 9 | 0,290 | –0,495 | 0,448 | 0,529 | |
| Физические расстройства | 10 | 0,260 | 0,712 | –0,200 | 0,615 | 
| 11 | 0,219 | 0,687 | –0,377 | 0,662 | |
| 12 | 0,326 | 0,558 | 0,093 | 0,426 | |
| 13 | 0,099 | 0,600 | –0,158 | 0,395 | |
| Психологические расстройства | 14 | 0,278 | 0,086 | 0,734 | 0,623 | 
| 15 | 0,196 | 0,080 | 0,740 | 0,592 | |
| Социальная дезадаптация | 16 | 0,589 | –0,451 | –0,142 | 0,571 | 
| 17 | 0,245 | –0,428 | –0,495 | 0,489 | |
| 18 | 0,621 | –0,216 | –0,139 | 0,452 | |
| Ущерб | 19 | 0,456 | 0,372 | 0,269 | 0,418 | 
| 20 | 0,544 | –0,022 | 0,159 | 0,322 | |
| Доля объясняемой дисперсии, % | 21,8 | 14,9 | 12,8 | – | |
| Альфа Кронбаха | 0,812 | 0,700 | 0,641 | – | |
Примечание. Выделенные значения соответствуют нагрузке >0,3 по модулю.
Note. The highlighted values correspond to the loadings >0.3 in absolute value.
На рис. 1 критерии Кэттелла и «сломанной трости» указывают на необходимость и достаточность выделения 3 ГК, объясняющих в сумме 49,5% общей дисперсии данных.
Рис. 1. Выделение главных компонент в ходе анализа данных опросника OHIP-20 DG методом CatPCA / Fig. 1. Identification of the main components during the analysis of the OHIP-20 DG questionnaire data by the CatPCA method
Результаты анализа ГК представлены в табл. 1 и на рис. 2, 3.
Рис. 2. Ординационная диаграмма. Сферы качества жизни (векторы) и пациенты (точки) в пространстве первой и второй нелинейных главных компонент качества жизни, выделенных методом CatPCA в опроснике OHIP-20 DG / Fig. 2. Ordination diagram. Spheres of quality of life (vectors) and patients (points) in the space of the first and second nonlinear main components of quality of life identified by the CatPCA method in the OHIP-20 DG questionnaire
Рис. 3. Распределение пациентов по значениям первой главной компоненты качества жизни: 1 — гистограмма, 2 — плотность распределения, 3 — нормальная кривая / Fig. 3. Distribution of patients according to the values of the first main component of quality of life: 1 — histogram, 2 — kernel density, 3 — normal curve
Первая, главная, компонента объясняла примерно 1/5 часть (21,8%) общей дисперсии данных. Из табл. 1 видно, что положительные нагрузки на нее были во всех без исключения вопросах, однако самые высокие связаны со сферами ОФ, ФД, СД и У.
Из рис. 2 также видно, где изображен специфический для ряда многомерных методов анализа график — ординационная диаграмма. В данном случае она представляет собой так называемый сдвоенный график, или биплот, поскольку отображает как сами показатели (вопросы опросника) в виде векторов, так и пациентов в виде точек в одной двумерной проекции. Чем больше проекция вектора на ось главной компоненты, тем сильнее вклад (нагрузка) данного показателя. Направление векторов в одну сторону относительно нуля (по любой из ГК) указывает на их положительную связь, в разные стороны — на отрицательную. При этом точки наблюдений выявляют объекты, обусловившие преимущественно эти связи: вклад наблюдений по периферии диаграммы максимален, а наблюдений вблизи центра — минимален. Как видно из рис. 2, по ГК1 проекции векторов показателей направлены исключительно в правую сторону ординационной диаграммы от нуля, что указывает на их взаимную положительную корреляцию в рамках этой компоненты.
Таким образом, ГК1 является интегральным показателем качества жизни и в целом указывает на факторную валидность методики. Судя по величине коэффициента альфа Кронбаха (0,812), внутренняя согласованность шкалы может считаться хорошей (см. табл. 1). Тем не менее имеются сферы, дающие на ГК1 относительно низкие нагрузки: это сферы ФР и ПР, причем для вопроса 13 сферы ФР (ФР_13), оценивающего необходимость прерывать прием пищи, нагрузка составила всего 0,099.
Если говорить о метрологических характеристиках ГК1, то следует также рассмотреть распределение индивидуальных значений этой компоненты — факторных меток. Это можно сделать по проекциям точек объектов (пациентов) на ось ГК1 (см. рис. 2) или более наглядно (см. рис. 3), где использовали другой способ проекции (значения рассчитывали регрессионной техникой) и близкие значения были сгруппированы в несколько классов. Видно, что распределение индивидуальных значений ГК1 было унимодальным и близким к нормальному. Это говорит о том, что данная ГК, хотя далеко не полностью, но качественно описывает измеряемую характеристику. Косвенно это указывает на потенциально высокую дискриминативность этой характеристики. Корреляция Пирсона индивидуальных значений ГК1 с суммарным баллом КЖ опросника OHIP-20 DG была сильной и высоко статистически значимой: r=0,954 (р <0,001).
Вторая и третья главные компоненты объясняли соответственно 14,9% и 12,8% общей дисперсии. ГК2 отражала отрицательную связь сферы ФР, с одной стороны, со сферами ПД и СД) — с другой. Возможно, данная ГК отражает некую психофизическую особенность оценки КЖ: пациенты, оценивая свое КЖ, подсознательно ставят на первое место одну группу симптомов, при этом придавая меньшее значение другим ГК3 и отражая эту объяснимую отрицательную связь между огорчением и смущением, с одной стороны, и неудобством при пользовании съемными протезами, и болью под базисом конструкции — с другой. Таким образом, ГК2 и ГК3 отражали не связанные напрямую с общей оценкой КЖ некие неустановленные закономерности, поэтому неудивительно, что они не коррелировали со шкалой баллов самого опросника OHIP-20 DG: коэффициенты корреляции Пирсона составили соответственно r=0,161 (p=0,263) и r=0,025 (p=0,864).
Последняя колонка в табл. 1 демонстрирует, насколько полно показатели были объяснены трехкомпонентной моделью. Так как общности изменяются от 0,274 до 0,797, то видно, что эта модель не учитывает всю информацию опросника.
В целом проведенный анализ подтвердил факторную валидность опросника OHIP-20 DG, но обнаружил в нем два слабых структурных элемента, не связанных с КЖ, объединенных с психосоциальными аспектами здоровья пациентов.
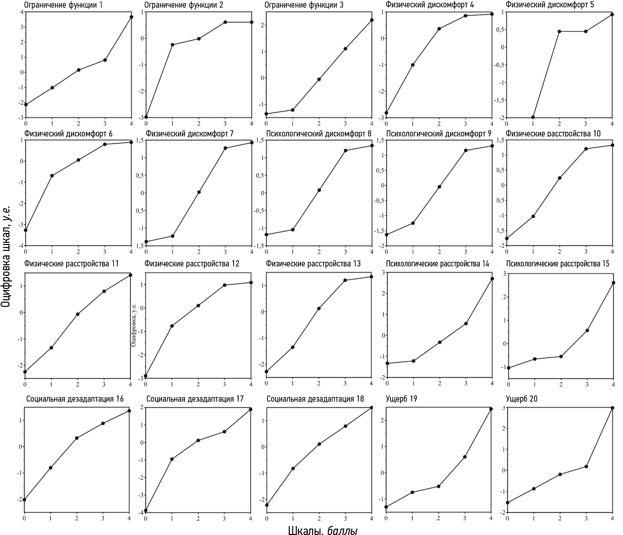
Оцифровка показателей в ходе оптимального шкалирования. Как указывалось выше, особенностью техники CatPCA является предшествующее обычной PCA преобразование, делающее связи в наборе максимально взаимно линейными. Поэтому существует возможность посмотреть, каким образом в анализируемой системе были оцифрованы порядковые признаки шкалы опросника. Подобные графики оцифровки (квантификации) исходных переменных в результате преобразования по Джифи [7] используют в тестологии, социологии и экономике для лучшего понимания поведения отдельных показателей во всей анализируемой системе [8, 10, 11].
Идея сопоставления исходных шкал с оцифрованными заключается в том, что возможность нелинейного поведения показателей в системе принимается за свойство этой системы. В то же время инструментарий исследователя для измерения параметров системы может не совпадать с ее свойствами. Применительно к опросникам это можно продемонстрировать на следующем примере: респондент внутренне относится к событию либо отрицательно, либо положительно, однако балльная шкала Ликерта [12] предлагает ему на выбор не 2, а 5 или более вариантов ответа, от «категорически не согласен» до «полностью согласен». Если бы вопрос был один, у исследователя не было бы простого способа оценки «внутренней» шкалы респондента. Но поскольку в рамках опросника анализируется целая система связанных друг с другом шкал, то их взаимная линеаризация в ходе оптимального шкалирования приводит к тому, что упорядоченные категории сдвигаются относительно исходных положений, задаваемых равными рангами. При этом они принимают положение более близкое к естественной «внутренней» группировке категорий. Центрирование системы полученных решений проводится таким образом, чтобы сумма всех оцифрованных значений в выборке была равна 0; так появляются отрицательные и положительные значения оцифровок. Таким образом, вместо одинаковых для разных признаков искусственных шкал опросника получаются разные для разных признаков и более естественные шкалы оцифровок. В примере с двумя отношениями к событию вместо нескольких упорядоченных категорий в ходе оптимального шкалирования в идеальном варианте были бы получены 2 значения оцифровок: отрицательное — для всех вариантов несогласия и положительное — для всех вариантов согласия (если среди ответов не встречалось равнодушного отношения, то центральная метка шкалы была бы также оцифрована либо как отрицательное, либо как положительное отношение).
Оцифрованные значения 5 упорядоченных категории ответов на вопросы опросника OHIP-20-RU представлены в табл. 2 и на рис. 4.
Таблица 2. Оцифрованные значения категорий шкал опросника OHIP-20 DG, полученные в ходе оптимального шкалирования по алгоритму CatPCA / Table 2. Quantification values of the OHIP-20 DG questionnaire’s scales obtained during optimal scaling using the CatPCA algorithm.
| Сфера качества жизни | Вопрос | Категории опросника (баллы) | ||||
| «постоянно» (0) | «очень часто» (1) | «часто» (2) | «крайне редко» (3) | «никогда» (4) | ||
| Ограничение функции | 1 | –2,142 | –1,023 | 0,153 | 0,809 | 3,662 | 
| 2 | –2,980 | –0,244 | –0,017 | 0,609 | 0,609 | |
| 3 | –1,358 | –1,213 | –0,053 | 1,106 | 2,190 | |
| Физический дискомфорт | 4 | –2,812 | –1,002 | 0,365 | 0,857 | 0,919 | 
| 5 | – | –1,983 | 0,448 | 0,448 | 0,928 | |
| 6 | –3,270 | –0,690 | 0,053 | 0,795 | 0,888 | |
| 7 | –1,380 | –1,224 | 0,025 | 1,274 | 1,430 | |
| Психологический дискомфорт | 8 | –1,183 | –1,042 | 0,081 | 1,205 | 1,346 | 
| 9 | –1,630 | –1,250 | –0,045 | 1,160 | 1,310 | |
| Физические расстройства | 10 | –1,763 | –1,033 | 0,238 | 1,205 | 1,326 | 
| 11 | –2,245 | –1,334 | –0,065 | 0,804 | 1,416 | |
| 12 | –2,898 | –0,769 | 0,102 | 0,972 | 1,081 | |
| 13 | –2,279 | –1,348 | 0,125 | 1,200 | 1,334 | |
| Психологические расстройства | 14 | –1,328 | –1,217 | –0,327 | 0,563 | 2,702 | 
| 15 | –1,041 | –0,661 | –0,554 | 0,566 | 2,606 | |
| Социальная дезадаптация | 16 | –2,020 | –0,806 | 0,326 | 0,886 | 1,364 | 
| 17 | –3,873 | –0,946 | 0,120 | 0,617 | 1,890 | |
| 18 | –2,215 | –0,820 | 0,108 | 0,789 | 1,497 | |
| Ущерб | 19 | –1,300 | –0,742 | –0,517 | 0,606 | 2,428 | 
| 20 | –1,532 | –0,873 | –0,191 | 0,185 | 2,979 | |
Рис. 4. Оцифровка шкал опросника OHIP-20-RU в ходе оптимального шкалирования по алгоритму CatPCA / Fig. 4. Quantification of the OHIP-20 DG questionnaire’s scales using the CatPCA algorithm
Из табл. 2 видно, что в большинстве случаев ломаные линии заметно отклонялись от прямой, что указывает на вероятную нелинейность восприятия сфер качества жизни пациентами. Так, например, первым фрагментом рис. 4 является график оцифровки шкалы 1-го вопроса опросника, относящегося к сфере ограничения функции «Как часто Вы испытываете трудности при приеме пищи в связи с проблемами, связанными с зубами, слизистой оболочки рта или протезами». Если принять, что оцифрованная шкала отражает внутреннее восприятие пациентами ответа на вопрос, то видно, что восприятие указанных трудностей респонденты оценивают примерно линейно в диапазоне от «постоянно» (0 баллов) до «крайне редко» (3 балла), тогда как ответ «никогда» (4 балла) имеет заметно больший вес в оценке. Более того, расстояние в восприятии трудностей между «постоянно» (оцифрованное значение равно –2,14 условных единиц) до «крайне редко» (0,81) составляет 2,14+0,81=2,95, что практически равно расстоянию между «крайне редко» (0,81) до «никогда» (3,66), т. е. 3,66–0,81=2,85.
Аналогично можно отметить, что постоянное застревание пищи между зубами, оцениваемое 2-м вопросом «Как часто при приеме пищи последняя застревает между естественными или искусственными зубами (протезами)», является примерно в 3 раза более чувствительным фактором для респондентов, чем все остальные варианты: расстояние от «постоянно» (0 баллов; оцифрованное значение –2,98) до «очень часто» (1 балл; –0,24) составляет 2,74, а от «очень часто» до «никогда» (4 балла, 0,61) составляет 0,85, и 2,74/0,85=3,22. Видно, что в данной системе респонденты не различали категории «крайне редко» и «никогда», которые были оцифрованы одинаково.
Можно выбирать интересующие шкалы и обсуждать далее. Например, интересны графики сферы психологического дискомфорта: несмотря на то что респондентам было предложено 5 баллов для оценки, они внутренне оценивают этот дискомфорт по 3-балльной системе: 0 и 1 почти на одном уровне оцифровки, далее, посередине, находится 2, а 3 и 4 опять почти на одном уровне.
По квантификациям известно, что если мы хотим иметь хорошую «линейку», то желательно, чтобы графики на рис. 4 имели прямые, а не ломаные линии. Это улучшает метрические свойства и повышает дискриминативность опросников.
ВЫВОДЫ
Методом нелинейных главных компонент по алгоритму CatPCA изучена факторная структура опросника. Установлено, что первая главная компонента (ГК1) объясняет 21,8% общей дисперсии и включает большинство показателей опросника, в первую очередь сфер «Ограничение функции», «Физический дискомфорт», «Социальная дезадаптация» и «Ущерб» и статистически значимо коррелирует r=0,95 (p <0,001) с баллами опросника.
Вторая и третья главные компоненты объясняли соответственно 14,9% и 12,8% общей дисперсии и не коррелировали со шкалой баллов опросника OHIP-20 DG: коэффициенты корреляции Пирсона составили соответственно r=0,161 (p=0,263) и r=0,025 (p=0,864).
Выполненный анализ подтвердил факторную валидность опросника OHIP-20 DG, но обнаружил в нем два слабых не связанных с КЖ структурных элемента, очевидно, связанных с психосоциальными аспектами здоровья пациентов.
Построены графики оцифровки (квантификации) исходных переменных в результате преобразования по Джифи. Сопоставление исходных балльных оценок опросника с их оцифрованными в ходе оптимального шкалирования значениями выявило нелинейность восприятия пациентами большинства пунктов опросника, что позволяет шире интерпретировать закономерности восприятия пациентами КЖ и совершенствовать далее сам опросник.
ДОПОЛНИТЕЛЬНАЯ ИНФОРМАЦИЯ / ADDITIONAL INFO
Источник финансирования. Авторы заявляют об отсутствии внешнего финансирования при проведении исследования.
Funding source. This study was not supported by any external sources of funding.
Конфликт интересов. Авторы декларируют отсутствие явных и потенциальных конфликтов интересов, связанных с публикацией настоящей статьи.
Competing interests. The authors declare that they have no competing interests.
Вклад авторов. Все авторы внесли существенный вклад в разработку концепции, проведение исследования и подготовку статьи, прочли и одобрили финальную версию перед публикацией.
Authors contribution. All authors made a substantial contribution to the conception of the work, acquisition, analysis, interpretation of data for the work, drafting and revising the work, final approval of the version to be published and agree to be accountable for all aspects of the work.
About the authors
Sergey A. Muslov
A.I. Evdokimov Moscow State Medical and Dental University
							Author for correspondence.
							Email: muslov@mail.ru
				                	ORCID iD: 0000-0002-9752-6804
				                																			                								
Dr. Sci. (Biological, Physico-Mathematical), professor
Russian Federation, 20, buil. 1, Delegatskaya str., Moscow, 127018Denis Yu. Nokhrin
Chelyabinsk State University
														Email: nokhrindenis@gmail.com
				                	ORCID iD: 0000-0002-4920-2338
				                																			                								
MD, Cand. Sci. (Biol.)
Russian Federation, ChelyabinskSergey D. Arutyunov
A.I. Evdokimov Moscow State Medical and Dental University
														Email: sd.arutyunov@mail.ru
				                	ORCID iD: 0000-0001-6512-8724
				                																			                								
MD, Dr. Sci. (Med.), professor
Russian Federation, 20, buil. 1, Delegatskaya str., Moscow, 127018Evgeny A. Chizhmakov
A.I. Evdokimov Moscow State Medical and Dental University
														Email: evgeniychigmakov@yandex.ru
				                	ORCID iD: 0000-0003-1313-3307
				                																			                												                	Russian Federation, 							20, buil. 1, Delegatskaya str., Moscow, 127018						
Anton A. Pivovarov
A.I. Evdokimov Moscow State Medical and Dental University
														Email: pivovarovanton@mail.ru
				                	ORCID iD: 0000-0001-9778-0258
				                																			                								
MD, Cand. Sci. (Med.), associate professor
Russian Federation, 20, buil. 1, Delegatskaya str., Moscow, 127018Maria S. Platonova
A.I. Evdokimov Moscow State Medical and Dental University
														Email: platonovamaria@yandex.ru
				                	ORCID iD: 0000-0002-0137-857X
				                																			                												                	Russian Federation, 							20, buil. 1, Delegatskaya str., Moscow, 127018						
References
- Gazhva SI, Gazhva YV, Guluev RS. The quality of life in paitents with diseases of oral cavity (review of literature). Modern Problems of Science and Education. 2012;(4):2. (In Russ).
- Patent RUS № 2021613358/ 19.02.2021. Arutyunov SD, Muslov SA, Grachev DI, et al. Programma dlya EVM “OHIP-20-DG”. Available from: https://elibrary.ru/item.asp?id=45819191
- IBM [Internet]. Categorical principal components analysis (2021) [cited 15 Mar 2022]. Available from: https://www.ibm.com/docs/ru/spss-statistics/SaaS?topic=categories-categorical-principal-components-analysis-catpca
- Fomina EE. Factor analysis and categorial principal component analysis: comparative analysis and practical application for processing of questionnaire survey results. Humanities Bulletin of BMSTU. 2017(10):3. (In Russ). doi: 10.18698/2306-8477-2017-10-473
- Van der Kooij AJ, Meulman JJ. Categorical Principal Components Analysis. In: Meulman JJ, Heiser WJ, editors. SPPS Categories 10.0. Chicago: SPSS Inc.; 1999. P. 1–9, 103–126, 221–237.
- Gifi А. Nonlinear Multivariate Analysis. New York: John Wiley & Sons; 1990.
- Michailidis G, de Leeuw J. The Gifi System of Descriptive Multivariate Analysis. Statistical Science. 1998;13(4):307–336.
- Manisera M, van der Kooij AJ, Dusseldorp E. Identifying the Component Structure of Satisfaction Scales by Nonlinear Principal Components Analysis. Quality Technology & Quantitative Management. 2016;7(2):97–115. doi: 10.1080/16843703.2010.11673222
- Nokhrin DY. Laboratornyi praktikum po biostatistike. Chelyabinsk: ChelGU; 2018. (In Russ).
- Isakin MA, Teplykh GV. Research of higher engineering education quality on the base of students interviewing data by nonlinear principal components analysis (NLPCA). Applied Econometrics. 2011;(1):70–96. (In Russ).
- Zangieva I, Rotmistrov A. Factor analysis of ordinal variables: a comparative study. Monitoring of Public Opinion: Economic and Social Changes. 2018(3):29–46. (In Russ). doi: 10.14515/monitoring.2018.3.02
- Tolstova YN. Izmerenie v sotsiologii: Kurs lektsii. Moscow: Infra-M; 1998. (In Russ).
Supplementary files
 
				
			 
					 
						 
						 
									
 
  
  
  Email this article
			Email this article 

 Open Access
		                                Open Access Access granted
						Access granted Subscription or Fee Access
		                                							Subscription or Fee Access
		                                					





