Classifier of services in the field of dental practice: legal framework and clinical and economic content
- Authors: Apresyan S.V.1, Zabaeva M.N.2, Stepanov A.G.3, Semenova V.A.1
-
Affiliations:
- Federal State Autonomous Educational Institution of Higher Education «Peoples' Friendship University of Russia»
- Federal State Autonomous Educational Institution of Higher Education «Moscow State University of Geodesy and Cartography»
- A.I. Evdokimov Moscow State Medical and Dental University
- Issue: Vol 24, No 1 (2020)
- Pages: 44-50
- Section: Organization of Healthcare Service
- Submitted: 11.08.2020
- Published: 15.02.2020
- URL: https://rjdentistry.com/1728-2802/article/view/42316
- DOI: https://doi.org/10.18821/1728-2802-2020-24-1-44-50
- ID: 42316
Cite item
Abstract
The necessity of developing a classifier of services in the field of dental practice is substantiated. The positions of the Nomenclature of Medical Services were systematized and a classifier of services in the field of dentistry was developed, which is distinguished by uniqueness, universality, stability, flexibility, and comparability with OKPD. The results of testing the developed classifier in the format of the clinical and economic protocol are presented, its practical significance and feasibility of use in dental practice are proved.
Full Text
В условиях цифровизации стоматологической практики вопросы кодирования (оцифровки) медицинских услуг как результатов этой деятельности приобретают первостепенное значение, прежде всего, в части их идентификации и формирования цифровых платформ. Конечно, всех нюансов быстро меняющейся конъюнктуры рынка медицинских услуг регуляторы (прежде всего, Роспотребнадзор и Федеральная налоговая служба) учесть не могут, но актуализация основополагающих регламентов по исследуемым вопросам происходит на постоянной ос-нове.
В июле 2019 г. вступила в силу актуализированная с учетом реальной клинической практики номенклатура медицинских услуг (далее — Номенклатура). Регламент достаточно объемный и требует серьезной проработки в части применения на практике. Еще более трудоемкой задачей для учредителей медицинских организаций является установление соответствия этого регламента другим, не менее важным нормативным актам, прежде всего, ОК 034-2014 (КПЕС 2008) «Общероссийский классификатор продукции по видам экономической деятельности» (далее — ОКПД). Сложность установления этих соответствий усиливается тем фактом, что учредителю клиники важно, с одной стороны, выбрать из Номенклатуры полный перечень предполагаемых к реализации услуг, а с другой стороны — работать в рамках кодов ОКПД, выбранных им и согласованных с ФНС в момент регистрации юридического лица. Соблюдение второго условия необходимо для упреждения штрафных санкций и иных наказаний со стороны регуляторов медицинского рынка.
Материал и методы
Авторами разработаны принципы и методы по достижению искомых соответствий на примере такого вида экономической деятельности, как стоматологическая практика.
Стоматологическая практика относится к медицинской деятельности. Согласно действующей редакции ФЗ «Об основах охраны здоровья граждан в Российской Федерации» от 21.11.2011 N 323-ФЗ, медицинская деятельность трактуется как профессиональная деятельность по оказанию медицинской помощи посредством проведения комплекса мероприятий, направленных на поддержание и (или) восстановление здоровья и включающих в себя предоставление медицинских услуг. Под медицинской услугой понимается медицинское вмешательство или комплекс медицинских вмешательств (медицинских обследований и(или) медицинских манипуляций), направленных на профилактику, диагностику и лечение заболеваний, медицинскую реабилитацию и имеющих самостоятельное законченное значение.
Согласно приказу Министерства здравоохранения и социального развития РФ от 7 декабря 2011 г. № 1496н «Об утверждении Порядка оказания медицинской помощи взрослому населению при стоматологических заболеваниях» (далее — Порядок), под медицинской помощью понимается помощь взрослому населению, осуществляемая при стоматологических заболеваниях зубов, пародонта, слизистой оболочки рта, языка, слюнных желез, челюстей, лица и головы, включающих кариозные, некариозные и другие поражения зубов; острые, хронические и специфические воспалительные заболевания, острые и хронические травмы, приобретенные дефекты и деформации, онкологические заболевания пародонта, слизистой оболочки рта, языка, слюнных желез, челюстей, лица и головы; аномалии и дефекты развития зубов, челюстей, лица и головы, их предпосылки и последствия.
Исходя из понимания медицинской помощи при стоматологических заболеваниях, изложенного в Порядке, предложим определение услуги в области стоматологической практики. Услугу в области стоматологической практики предлагается трактовать как медицинское вмешательство или комплекс медицинских вмешательств, имеющих самостоятельное законченное значение и направленных на профилактику, диагностику и лечение заболеваний полости рта и зубов.
Проблема создания классификатора услуг в области стоматологической практики выступает как специальная научно-прикладная задача, решение которой лежит в плоскости наукообразного правоприменения действующего отраслевого регламента — Номенклатуры. Номенклатура представляет собой систематизированный перечень кодов и наименований около 12 000 медицинских услуг в здравоохранении. И, конечно, далеко не все медицинские услуги выполняются в стоматологической практике. Учредителю стоматологической клиники, особенно начинающему, необходимо сориентироваться и выбрать из этого многообразия услуги и коды, которые он может и должен использовать в работе. Наличие такого рабочего инструмента, как классификатор услуг в области стоматологии, избавит учредителя или любого другого заинтересованного пользователя от пустой траты времени и сомнений, позволит в кратчайшие сроки выбрать нужные коды и выставить на официальном сайте фирменную номенклатуру и прайс-лист услуг стоматологической клиники. Классифицирование в науке обозначает разновидность деления объёма понятия по определенному основанию (признаку, критерию), при котором объем родового понятия (класс, множество) делится на виды (подклассы, подмножества), а виды, в свою очередь, делятся на подвиды и т. д. [1]. В практической деятельности достаточно часто под классифицированием понимается распределение по классам, разрядам и т. п. внутренние соподчиненные понятия какой-либо области согласно учету их общих признаков и закономерных связей, существующих между ними [2]. Результатом классифицирования является классификация. Здесь достаточно много определений: логическая система внутренне соподчиненных понятий в какой-либо области, распределенных по группам, классам, разрядам и т. п. на основе учета общих признаков и закономерных связей между ними [2]; случай применения логической операции деления объема понятия, представляющий собой некоторую совокупность делений (деление некоторого класса на виды, деление этих видов и т. д.) [3]; осмысленный порядок вещей, явлений, разделение их на разновидности согласно каким-либо важным признакам [4].
В нашем случае создаваемая классификация предназначена для использования в стоматологической науке и практике, поэтому в качестве существенных признаков выберем ключевые характеристики Номенклатуры с последующим сопоставлением (наложением) этих признаков с характеристиками ОКПД. При таком подходе классификация позволит выявлять существенные сходства и различия между классификационными предметами (услугами в области стоматологии) и будет иметь познавательное и прикладное значение. В Номенклатуре выполнено деление — раскрытие объема понятия «медицинская услуга» посредством перечисления всех видов (т. е. меньших по объему понятий), входящих в состав делимого понятия, на основании принципов, делающих возможным правильное перечисление полученных благодаря делению видов и подвидов, классифицируемых услуг. При составлении Номенклатуры учтены общие правила деления понятия [5]: полнота деления — все члены деления перечислены; чистота — члены деления не пересекаются; единое основание — основанием для деления служит номенклатурный признак делимого понятия «медицинская услуга»; объем членов классификации равен объему классифицируемого класса; члены классификации взаимно исключают друг друга, деление на подклассы непрерывно. При составлении классификатора услуг в области стоматологической практики авторы статьи соблюдали эти же принципы и со сложным рядом однородных объектов (перечнем номенклатурных медицинских услуг) выполнены указанные действия.
Результаты исследования
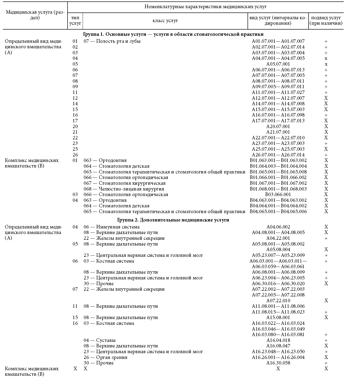
В рамках исследования систематизированы все номенклатурные позиции по видам медицинских услуг на основе анализа прейскурантов услуг более 100 стоматологических клиник Москвы. По результатам систематизации из общей совокупности медицинских услуг в составе Номенклатуры (около 12 тыс.) опытным путем отобраны 345 номенклатурных позиций (видов услуг), обладающих сущностным сходством по признаку отраслевой (функциональной) принадлежности к стоматологической практике (см. столбец 4 табл. 1). Каждая позиция (код) — это вид медицинской услуги, имеющей законченное диагностическое или лечебное значение. Для каждого вида выбраны подвиды (при наличии), которые делят услуги одного вида в зависимости от способов (методик) их выполнения. Далее избранные виды услуг сгруппированы в классы.
Таблица 1. Классификация услуг в области медицинской и стоматологической практики
Под классом понимается конечная совокупность объектов, выделенная по общему для них признаку (свойству или отношению), мыслимая как нечто целое [1, 4]. В нашем случае объектами выступают услуги, оказываемые в области стоматологии, а классификационным признаком является обозначающая анатомо-функциональная область услуг (см. столбец 3, табл. 1), соответственно:
- 234 вида услуг объединены в класс 07 — полость рта и зубы;
- 30 видов услуг рассредоточены по классам 063 — ортодонтия, 064 — стоматология детская, 065 — стоматология терапевтическая и стоматология общей практики, 066 — стоматология ортопедическая, 067 — стоматология хирургическая, 068 — челюстно-лицевая хирургия;
- 81 вид услуг рассредоточен по классам 03 — костная система, 04 — суставы, 06 — иммунная система, 08 — верхние дыхательные пути, 22 — железы внутренней секреции, 23 — центральная нервная система и головной мозг, 26 — орган зрения, 30 — прочие.
Таким образом, каждый объект (услуга в области стоматологии) попал в конкретное подмножество (класс). Тем самым определено место каждого объекта (услуги) в множестве услуг в области стоматологии, установлены классификационные связи между объектами (услугами) по принципу принадлежности к конкретной анатомо-функциональной области, а также выполнено нормативно-мерное упорядочивание исследуемого множества услуг в области стоматологии, в результате которого каждая услуга получила свое место, соответствующее ее контенту по составу медицинских манипуляций, видам медицинской помощи и медицинской деятельности. Установлено, что из 100 классов номенклатуры лишь 15 имеют отношение к стоматологии, что лишний раз подтверждает необходимость разработки узкоотраслевого классификатора.
Далее избранные классы рассредоточены по номенклатурным типам (см. столбец 2 табл. 1). Услуги в области стоматологии класса 07 могут быть 22 типов (из 27, установленных Номенклатурой), а именно: 01 — функциональное обследование без использования приспособлений и/или приборов, выполняемое непосредственно медицинскими работниками; 02 — функциональное обследование с использованием простых приспособлений, приборов, не требующее специальных навыков и помощи ассистента; 03 — визуальное обследование, требующее специальных приборов, навыков и помощи ассистента; 04 — регистрация звуковых сигналов, издаваемых или отражающихся органами или тканями с их последующей расшифровкой и описанием; 05 — регистрация электромагнитных сигналов, испускаемых или потенцированных в органах и тканях с их последующей расшифровкой и описанием; 06 — рентгенологические исследования с их последующим описанием и рентгенотерапия; 07 — исследования с помощью радионуклидов и методы радиационной терапии; 08 — морфологические исследования тканей; 09 — исследования биологических жидкостей, с помощью которых изучаются концентрации веществ и активность ферментов в жидких средах организма; 11 — специальные методы получения исследуемых образцов, доступа и введения; 12 — исследования функции органов или тканей с использованием специальных процедур, приспособлений и методик, не обозначенных в других рубриках, направленных на прямое изучение функции органов или тканей, медикаментозные и физические пробы, исследование оседания эритроцитов, иммунной реакции, в том числе определение группы крови и резус-фактора, а также системы гемостаза и другие; 14 — уход за больными или отдельными анатомо-физиологическими элементами организма; 15 — десмургия, иммобилизация, бандажи, ортопедические пособия; 16 — оперативное лечение; 17 — электромагнитное лечебное воздействие на органы и ткани; 20 — лечение климатическими воздействиями; 21 — лечение с помощью простых физических воздействий на пациента; 22 — лечение с помощью лучевого воздействия; 23 — диагностика и лечение, не обозначенные в других рубриках; 25 — консервативные методы лечения, не обозначенные в других рубриках, связанные с назначением лекарственных препаратов, диетического питания и лечебно-оздоровительного режима; 26 — микробиологические исследования основных возбудителей инфекционных заболеваний.
Услуги в области стоматологии классов 063, 064, 065, 066, 067, 068 могут быть трех типов (из пяти, установленных Номенклатурой), а именно: 01 — врачебная лечебно-диагностическая; 03 — сложные диагностические услуги, формирующие диагностические комплексы; 04 — медицинские услуги по профилактике, такие, как профилактический прием врача-специалиста, индивидуальное и групповое профилактическое консультирование, вакцинация.
Услуги в области стоматологии классов 03, 04, 06, 08, 22, 23, 26, 30 могут быть семи типов (из 27, установленных Номенклатурой), а именно: 04 — регистрация звуковых сигналов, издаваемых или отражающихся органами или тканями с их последующей расшифровкой и описанием; 05 — регистрация электромагнитных сигналов, испускаемых или потенцированных в органах и тканях с их последующей расшифровкой и описанием; 06 — рентгенологические исследования с их последующим описанием и рентгенотерапия; 07 — исследования с помощью радионуклидов и методы радиационной терапии; 11 — специальные методы получения исследуемых образцов, доступа и введения; 15 — десмургия, иммобилизация, бандажи, ортопедические пособия; 16 — оперативное лечение.
Далее, распределяем услуги А- и В-типов по идентичным разделам номенклатуры (в раздел А — Определенные виды медицинского вмешательства попадают типы услуг, раздел В — Комплекс медицинских вмешательств) и добавляем новую группировку, сверх номенклатурной, создавая выборки двух форматов (см. столбец 1, табл. 1):
группа 1 — основные услуги, отнесенные Регулятором к стоматологической практике;
группа 2 — дополнительные услуги, которые отнесены Регулятором к иным отраслям здравоохранения, но на постоянной основе выполняются в стоматологической практике.
В группу 1 попадают типы услуг 01—09, 11, 12, 14—17, 20—23, 25, 26 раздела А и 01, 03, 04 типы услуг раздела В. В группу 2 попадают типы услуг 04—07, 11, 15, 16 раздела А. Таким образом, получаем упорядоченную группировку объектов (видов услуг в области стоматологии) по типам. Для обеспечения сопоставимости медицинских и экономических данных (подходов) использован прием наложения Номенклатуры медицинских услуг на ОКПД и получен медико-экономический контент услуг в области стоматологической практики и дополнительных услуг, оказываемых в стоматологии (табл. 2, 3).
Таблица 2. Классификационная ветка 86.23.1 Услуги в области стоматологии
Таблица 3. Классификационные ветки: 86.21.1 Услуги в области общей врачебной практики; 86.22.1 Услуги в области специализиро-ванной врачебной практики
Выполняя систематизацию, исследователи исходили из необходимости разработки инструментария для составления фирменной номенклатуры и прайс-листов, удовлетворяющих требованиям всех Регуляторов стоматологической практики. Для этого рассмотренные выше классификационные параметры усилены признаками, поддающимися измерению и поэтому имеющими количественные значения: продолжительность оказания услуги, себестоимость, прибыль, цена. В результате дополнительной оцифровки услуг весь порядок образованных классификационных группировок приобрел вид распределения численностей и функциональную зависимость и позволил авторам разработать конструктор в формате Excel, подходящий для мгновенного формирования любого набора услуг в области стоматологии. Пример клинико-экономического протокола услуги в области стоматологии, разработанного по номенклатурным параметрам классификатора с помощью конструктора представлен в табл. 4. Таблица составлена на примере оказания определенной услуги одной из клиник Москвы частного вида собственности, и приведенные цены являются неприоритетными, а клинический протокол разработан в рамках диссертационного исследования.
Таблица 4. Клинико-экономический протокол услуги в области стоматологии
Конструктор как инструмент применения классификатора позволяет из имеющегося множества зарегистрированных значений количественного признака по каждому виду услуг получить параметры конкретного набора услуг, предлагаемого пациенту по единой цене. Для того, чтобы видеть ключевые параметры набора данные в протоколе представлены в сжатой форме, уплотнены посредством группировки. При этом в предлагаемом протоколе не утрачены и не искажены собранные данные и в итоге получены достаточно точные параметры стоматологического набора. Качественные и количественные параметры не перекрывают друг друга. Даже имея своим предметом одни и те же объекты (услуги в области стоматологии), они рассматривают их разные аспекты и сосуществуют в общем комплексе характеристик этих услуг.
Заключение
Итак, классификатор услуг в области стоматологии разработан на основании Номенклатуры и представляет собой систему однозначных наименований для каждой классификационной группы. При этом каждый шаг систематизации выполнен по собственному основанию, отличному от оснований, которые использовались в других шагах группировки. Объекты группировки исключают друг друга в рамках таксона (группы) одного и того же яруса. Классификатор соразмерен, непрерывен, без пропусков ярусов. Он отличается: а) уникальностью — каждое наименование является единственным и отличным от других; б) универсальностью — являет единый набор наименований, подходящий всем участниками стоматологической практики; в) стабильностью, исключающей произвольные изменения наименований, и вместе с тем гибкостью, допускающей изменения названий в связи с изменениями в Номенклатуре. Предлагаемый классификатор конкретизирует Номенклатуру, имеет узкоотраслевой прикладной характер, предназначен для обеспечения определенного вида медико-экономической деятельности — стоматологической практики. Предметная область классификатора гораздо более узкая, чем у Номенклатуры. Она исходит из объективных и важных свойств (манипуляций, видов медицинской помощи) классифицируемых объектов (услуг в области стоматологии). Группировка осуществлена здесь в целях удовлетворения определенных прагматических запросов. Использование классификатора и вспомогательных инструментов (конструктор, протокол) в стоматологической практике позволит заинтересованным пользователям видеть в надежном и удобном для обозрения и распознавания виде весь перечень и ключевые характеристики практикуемого спектра услуг; свободно и быстро ориентироваться в многообразии услуг в области стоматологии; существенно экономить время на формировании наборов услуг для пациентов; автоматизировать процедуры калькулирования и тарификации сформированных наборов услуг; избежать штрафных санкций со стороны Регуляторов.ч
About the authors
S. V. Apresyan
Federal State Autonomous Educational Institution of Higher Education «Peoples' Friendship University of Russia»
Author for correspondence.
Email: dr.apresyan@gmail.com
dentist, candidate of medical Sciences
Russian Federation, MoscowM. N. Zabaeva
Federal State Autonomous Educational Institution of Higher Education «Moscow State University of Geodesy and Cartography»
Email: dr.apresyan@gmail.com
Russian Federation, Moscow
A. G. Stepanov
A.I. Evdokimov Moscow State Medical and Dental University
Email: dr.apresyan@gmail.com
Russian Federation, Moscow
V. A. Semenova
Federal State Autonomous Educational Institution of Higher Education «Peoples' Friendship University of Russia»
Email: dr.apresyan@gmail.com
Russian Federation, Moscow
References
- Классификация. ru.wikipedia.org/wiki/
- Ефремова Т.Ф. Новый словарь русского языка. Толково-словообразовательный. — М.: Русский язык; 2000. https://www.efremova.info/word/klassifitsirovat.html.
- Философский словарь / Под ред. И.Т. Фролова. М.: Политиздат; 1981. http://filosof.historic.ru/enc/item/f00/s04/a000486.shtml.
- Национальная психологическая энциклопедия. https://vocabulary.ru.
- Субботин А.Л., Абушенко В.Л., Бочаров В.А., Эдельман В.А. Классификация. Гуманитарная энциклопедия: Концепты. Центр гуманитар-ных технологий, 2002—2019 (редакция от 17.12.2019). URL: https://gtmarket.ru/concepts/6879
Supplementary files







