Effect of periimplantitis treatment on the chemiluminescent activity of neutrophilic granulocytes in vitro
- Authors: Furtsev T.V.1, Savchenko A.A.1,2, Sokolov M.V.1, Gvozdev I.I.2
-
Affiliations:
- Professor V.F. Voino-Yasenetsky Krasnoyarsk State Medical University
- Krasnoyarsk Science Centre of the Siberian Branch of Russian Academy of Science
- Issue: Vol 28, No 6 (2024)
- Pages: 543-554
- Section: Experimental and Theoretical Investigation
- Submitted: 10.07.2024
- Accepted: 26.09.2024
- Published: 22.12.2024
- URL: https://rjdentistry.com/1728-2802/article/view/633838
- DOI: https://doi.org/10.17816/dent633838
- ID: 633838
Cite item
Abstract
BACKGROUND: Periimplantitis causes implant loss, which reduces the quality of dental treatment. The effect of periimplantitis treatment on the immune response, particularly the chemiluminescent activity of neutrophilic granulocytes, is unclear. The paper addresses this issue, as well as improvements in periimplantitis treatment approaches.
AIM: To assess the biocompatibility of implants removed from the inflammation site and treated with Air Flow and laser.
MATERIALS AND METHODS: Three types of implant surface were assessed: anodized titanium dioxide (TiO2); sand-blasted, large grit, acid-etched (SLA); and resorbable blast media (RBM). Implants were removed in patients with confirmed periimplantitis, followed by an air-powder abrasive surface treatment with Air Flow and chlorhexidine, using a YSGG laser with a wave length of 2,780 nm. New (out of the box) implants were used as a control. Biocompatibility was assessed by the synthesis of primary and secondary reactive oxygen species (ROS) by neutrophils; the intensity and kinetics of synthesis were examined using chemiluminescence analysis.
RESULTS: Lucigenin- and luminol-dependent chemiluminescence of neutrophils was assessed following in vitro incubation with SLA, RMB, and TiO2 implants removed in patients with confirmed periimplantitis and treated with Air Flow and chlorhexidine. The study found a decrease in the time to maximum and an increase in the maximum intensity and area under the curve of spontaneous and zymosan-induced chemiluminescence of neutrophils, regardless of the studied implant type. Changes in the zymosan-induced chemiluminescence of neutrophils following incubation with implants were greater than changes in spontaneous chemiluminescence, resulting in a higher activation index. No significant changes in neutrophil chemiluminescence were observed after in vitro incubation with laser-treated SLA, RMB, and TiO2 implants.
CONCLUSION: SLA, RMB, and TiO2 implants removed in periimplantitis patients and treated with Air Flow and chlorhexidine have low biocompatibility. However, Air Flow-treated RBM implants show relatively superior biocompatibility than SLA and TiO2 implants, which is attributed to the decreased synthesis of primary and secondary ROS by neutrophils during in vitro incubation. The degree of ROS synthesis by neutrophils during incubation with laser-treated implants corresponds to that of the control, indicating increased biocompatibility of laser-treated implants. Laser-treated TiO2 implants had the lowest neutrophil activation during incubation, determining their maximum biocompatibility among the studied implants.
Full Text
BACKGROUND
Despite the advances and predictability of dental implant therapy, postoperative complications associated with wound damage and sterile inflammation (peri-implantitis) remain common in both the early and late postoperative periods [1, 2]. This is largely due to not only mechanical wear, but also corrosion processes triggered by the acidogenic properties of biofilm bacteria and the biochemical activity of saliva. The release of metallic nanoparticles of iron and titanium ions exerts cytotoxic effects on the patient’s leukocyte-macrophage system [3]. These processes can impact the quality and timing of osseointegration, local oral immunity, and ultimately the success of dental treatment.
Early intervention and a comprehensive approach—including elimination of the infectious agent and corrective and regenerative nonsurgical and surgical procedures—are critical for effective peri-implantitis treatment. Mechanical removal of granulation tissue and surface decontamination of implants are currently viewed as a promising strategy. Successful bone regeneration after peri-implantitis treatment is crucial for long-term outcomes; therefore, the implant surface should promote regeneration and exhibit biocompatibility comparable to that of a new implant [4, 5].
Inflammation is a pathophysiological response to injury. The development of an inflammatory response to bacterial and traumatic stimuli involves activation of the innate immune system [6, 7]. Regulation of inflammation and its resolution occurs through the interactions of innate immune cells, whose functional activity ensures the transition to the proliferative phase.
Neutrophilic granulocytes are the first cells to migrate to the site of inflammation [6–8]. By expressing numerous receptors on their cytoplasmic membrane, neutrophils detect even minimal disturbances in the internal environment and modulate their functions to restore homeostasis [6, 8, 9]. Activated neutrophils serve as powerful effector and regulatory elements in the inflammatory cascade. One of the primary functional processes of neutrophilic granulocytes is the respiratory burst [8, 10, 11], defined as a process of increased synthesis of reactive oxygen species (ROS) by phagocytic cells (including neutrophilic granulocytes) during completed phagocytosis [11, 12].
AIM: To assess the biocompatibility of implants removed from the inflammation site and treated with Air Flow and laser.
Biocompatibility was evaluated based on the level of primary and secondary ROS synthesis by neutrophils using chemiluminescence analysis [8, 10].
METHODS
Study Design
- interventional (experimental)
- multicenter
- prospective
- selective
- controlled (new implants served as controls)
- nonblinded
- nonrandomized
Eligibility Criteria
Inclusion criteria: clinical signs of peri-implantitis in the peri-implant area; implants with TiO2, SLA, or RBM surfaces.
Exclusion criteria: absence of peri-implantitis signs; evidence of implant osseointegration.
Study Setting
The study was conducted at Krasnoyarsk State Medical University named after Professor V.F. Voyno-Yasenetsky, the Federal Research Center “Krasnoyarsk Science Center of the Siberian Branch of the Russian Academy of Sciences,” and the Medident Clinical Research and Training Center (Krasnoyarsk, Russia).
Study Duration
Planned study duration: 1 year.
Actual study duration: 1 year.
Intervention
All experiments were conducted in vitro. Three types of implant surface were assessed: anodized titanium dioxide (TiO2); sand-blasted, large grit, acid-etched (SLA); and resorbable blast media (RBM). Each surface group included 15 implants: 5 implants in each of the two study groups and 5 new implants (out of the package) in the control group. In the experimental group 1, implants were explanted from patients diagnosed with peri-implantitis and treated with Air Flow and 0.2% chlorhexidine. In the experimental group 2, the entire surface of the explanted implants underwent YSGG laser treatment with a wavelength of 2780 nm using a turbo tip with MX-5 nozzle (Biolase, USA) at 1.5 W power settings and water/air flow set at 80/80. After treatment, the implants were placed in sterile saline.
Neutrophil isolation was performed using the standard Ficoll-Urografin density gradient method followed by removal of adherent cells. The purity of the isolated neutrophils was at least 97%, and their viability ranged from 98% to 100%.
Isolated neutrophils were divided into three fractions: a control fraction and two experimental fractions (incubated with untreated and laser-treated implants, respectively). All fractions were incubated in vitro for 60 minutes at 37 °C, followed by assessment of neutrophil chemiluminescent activity.
The reaction mixture for chemiluminescence consisted of 20 µL of AB(IV)Rh(-) donor serum, 50 µL of luminol or lucigenin (Sigma-Aldrich, USA) at a concentration of 10–5 M, 40 µL of opsonized zymosan (for induced chemiluminescence assays), 200 µL of neutrophil suspension (2 × 10⁶ cells/mL), and either 240 µL of Hanks› balanced salt solution (PanEco, Russia) for spontaneous chemiluminescence or 200 µL of Hanks› balanced salt solution for induced chemiluminescence [8, 10]. The choice of two chemiluminescent indicators was based on the fact that lucigenin activation occurs only through interaction with superoxide radicals, whereas luminol detects both primary and secondary ROS [10]. The following chemiluminescence parameters were analyzed: time to maximum intensity (Tmax), maximum intensity (Imax), and area under the chemiluminescence curve (S). The activation index (AI) of chemiluminescence was calculated as the ratio of the area under the zymosan-induced chemiluminescence curve to that of spontaneous chemiluminescence (Sind/Sspont).
Main Study Outcome
The main endpoint was the level of ROS synthesis by neutrophils during incubation with implant surfaces treated with Air Flow and chlorhexidine or laser.
Additional Study Outcomes
Secondary endpoints included the levels of spontaneous chemiluminescence of neutrophils after incubation with implants treated with different methods (YSGG laser at 2780 nm or Air Flow with chlorhexidine).
Outcomes Registration
Neutrophil counts were determined using a Goryaev chamber. Spontaneous and zymosan-induced chemiluminescence were recorded over 90 minutes using a 36-channel chemiluminescence analyzer BLM-3607 (MedBioTech, Russia).
Ethics Approval
The study was approved within the dissertation research of M.V. Sokolov, “Optimization of Peri-implantitis Treatment Based on Implant Surface Type” (protocol excerpt No. 124/2024 from the meeting of the local ethics committee at the Federal State Budgetary Educational Institution of Higher Education Krasnoyarsk State Medical University, dated January 30, 2024).
Statistical Analysis
Descriptive statistics were presented as median (Me) and interquartile range [25%; 75%]. Statistical significance of differences in chemiluminescence activity between groups was assessed using the Wilcoxon matched pairs test. Statistical analysis was performed using Statistica 8.0 software (StatSoft Inc., USA).
RESULTS
Participants
Explanted implants with clinical signs of peri-implantitis and different surface types: TiO2, SLA, and RBM.
Primary Results
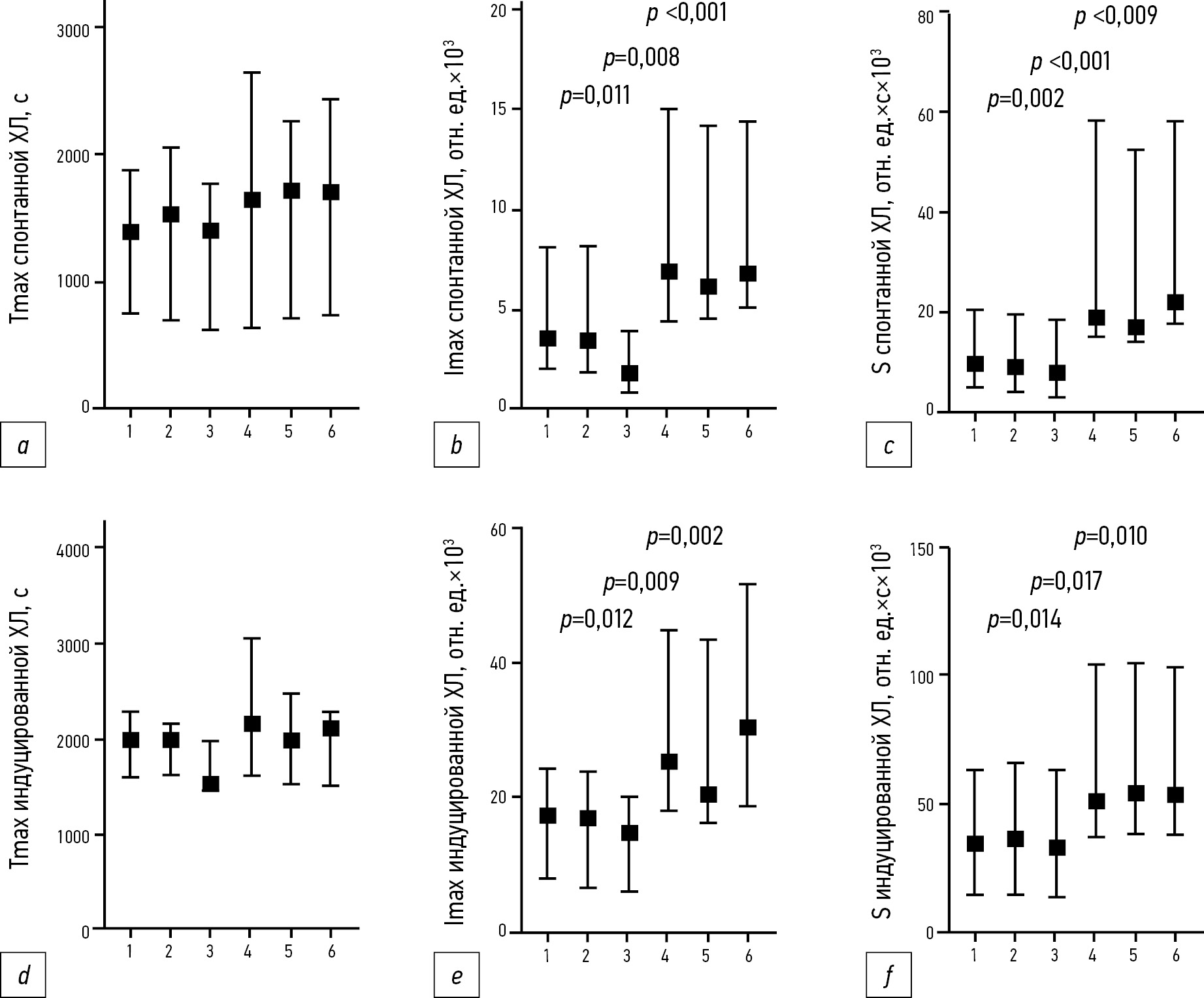
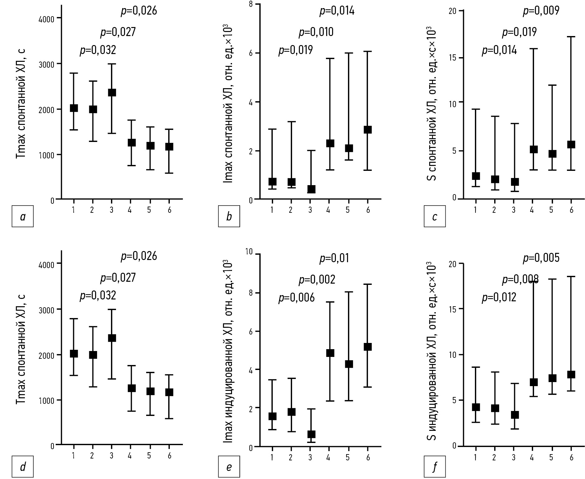
A comparison of lucigenin-dependent chemiluminescence parameters of neutrophils after in vitro incubation with control implants (SLA, RBM, and TiO2) and implants from group 1 revealed that, regardless of the implant type, Tmax decreased and Imax and S values of spontaneous neutrophil chemiluminescence increased (Fig. 1 a–c). Upon induction of the respiratory burst by opsonized zymosan, a decrease in Tmax and an increase in Imax and S values were also observed during incubation with all tested implants (Fig. 1 d–e). Changes in the zymosan-induced chemiluminescence of neutrophils following incubation with implants were greater than changes in spontaneous lucigenin-dependent chemiluminescence, resulting in a higher activation index (AI). For SLA implants, the control AI was 1.70 [0.91–1.87], while in group 1 it was 3.01 [2.32–6.50] (р=0.019); for RBM implants, the control AI was 1.91 [0.93–2.29], and 2.99 [2.18–6.54] in group 1 (р=0.022); for TiO2 implants, the control AI was 1.82 [0.84–2.11], and 2.84 [1.98–6.55] in group 1 (р=0.026).
Fig. 1. Indicators of lucigenin-dependent chemiluminescence activity of neutrophils during in vitro incubation with implants of the 1st experimental group: a — time to reach the maximum of spontaneous chemiluminescence, b — maximum intensity of spontaneous chemiluminescence, c — area under the curve of spontaneous chemiluminescence, d — time to reach the maximum of zymosan-induced chemiluminescence, e — maximum intensity of zymosan-induced chemiluminescence, f — area under the curve of zymosan-induced chemiluminescence. 1 — control (new, taken from the package) SLA implant; 2 — control (new, taken from the package) RBM implant; 3 — control (new, taken from the package) TiO2 implant; 4 — SLA implant treated with Air Flow air-abrasive mixture and 0.2% chlorhexidine; 5 — RBM implant treated with Air Flow air-abrasive mixture and 0.2% chlorhexidine; 6 — TiO2 implant treated with Air Flow air-abrasive mixture and 0.2% chlorhexidine. ХЛ — chemiluminescence.
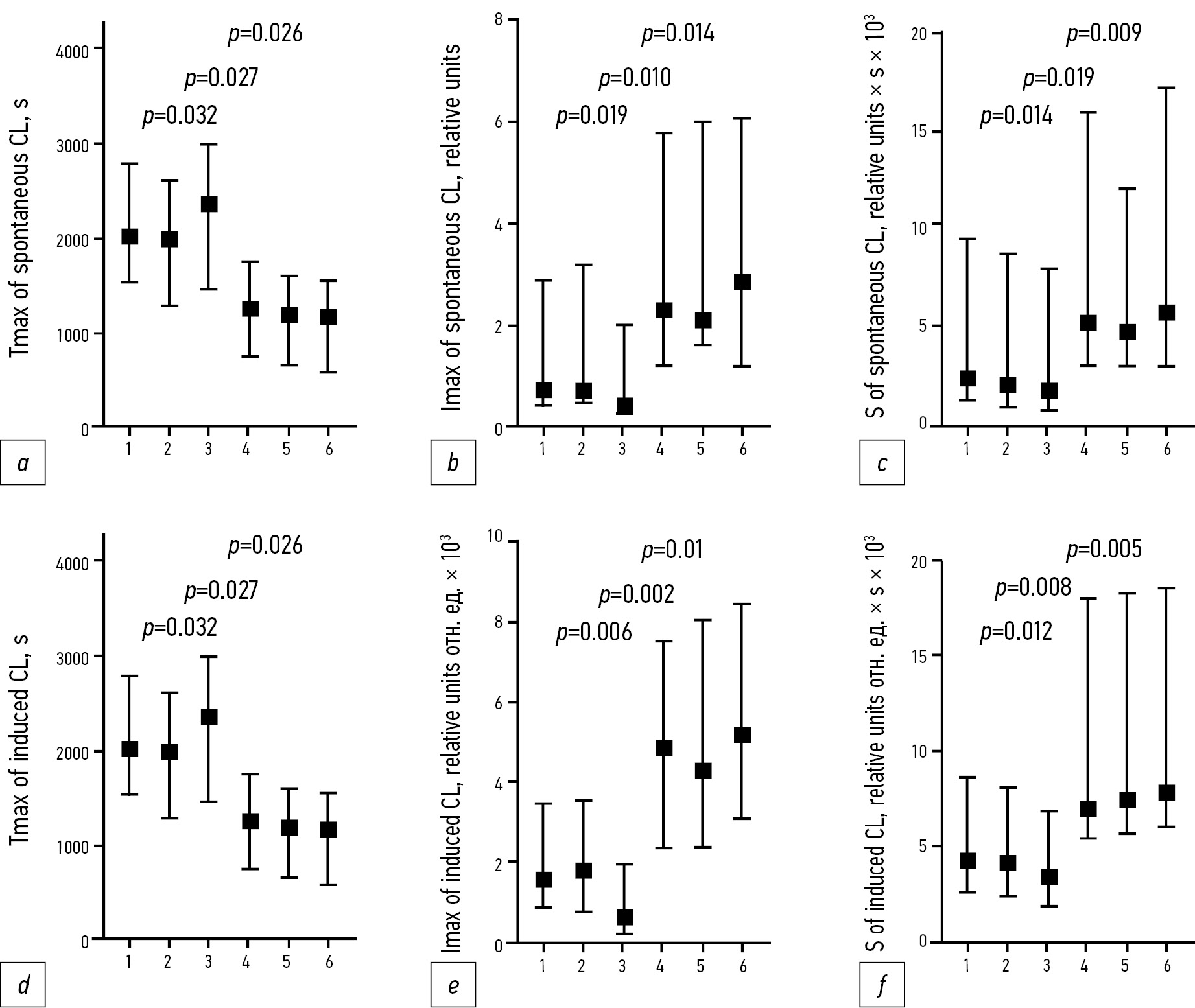
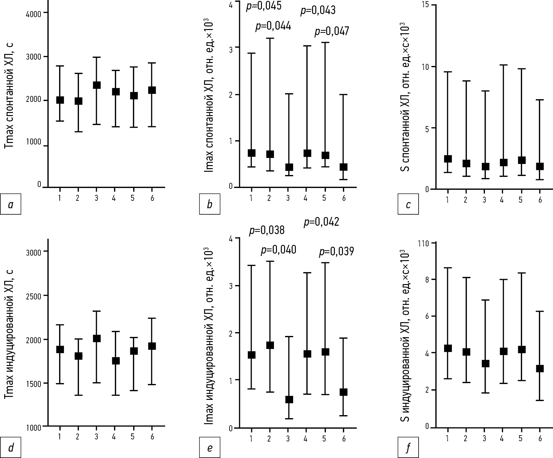
The kinetics (Tmax values) of luminol-dependent chemiluminescence of neutrophils during in vitro incubation with SLA, RBM, and TiO2 implants from group 1 did not change (Fig. 2a). At the same time, the activity parameters (Imax and S) of spontaneous and zymosan-induced luminol-dependent chemiluminescence of neutrophils, relative to the corresponding control values, also increased, similar to the lucigenin-dependent chemiluminescence (Fig. 2 b–f). The AI also increased: for SLA implants, the control AI was 3.63 [2.49–6.57], while in group 1 it was 6.65 [4.87–15.06] (р=0.037); for RBM implants, the control AI was 4.01 [1.98–7.42], and 6.14 [5.24–14.39] in group 1 (р=0.040); for TiO2 implants, the control AI was 4.08 [1.90–8.12], and 6.71 [5.07–15.22] in group 1 (р=0.034).
Fig. 2. Indicators of luminol-dependent chemiluminescence activity of neutrophils during in vitro incubation with implants of the 1st experimental group: a — time to reach the maximum of spontaneous chemiluminescence, b — maximum intensity of spontaneous chemiluminescence, c — area under the curve of spontaneous chemiluminescence, d — time to reach the maximum of zymosan-induced chemiluminescence, e — maximum intensity of zymosan-induced chemiluminescence, f — area under the curve of zymosan-induced chemiluminescence. 1 — control (new, taken from the package) SLA implant; 2 — control (new, taken from the package) RBM implant; 3 — control (new, taken from the package) TiO2 implant; 4 — SLA implant treated with Air Flow air-abrasive mixture and 0.2% chlorhexidine; 5 — RBM implant treated with Air Flow air-abrasive mixture and 0.2% chlorhexidine; 6 — TiO2 implant treated with Air Flow air-abrasive mixture and 0.2% chlorhexidine. ХЛ — chemiluminescence.
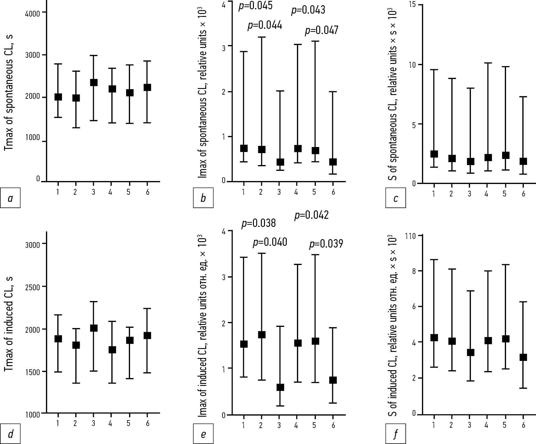
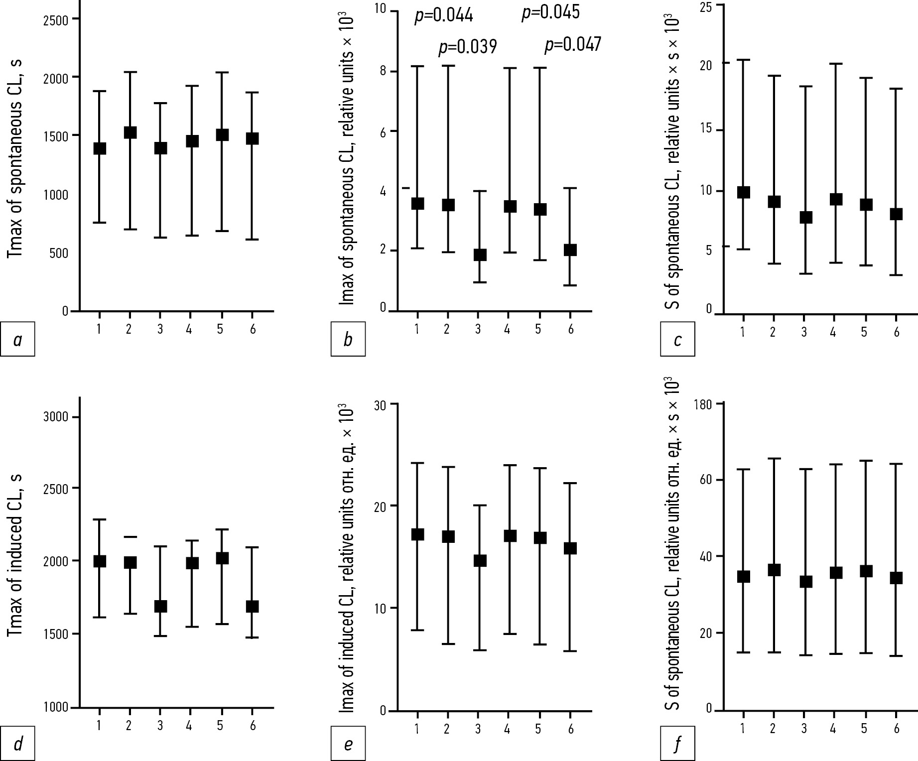
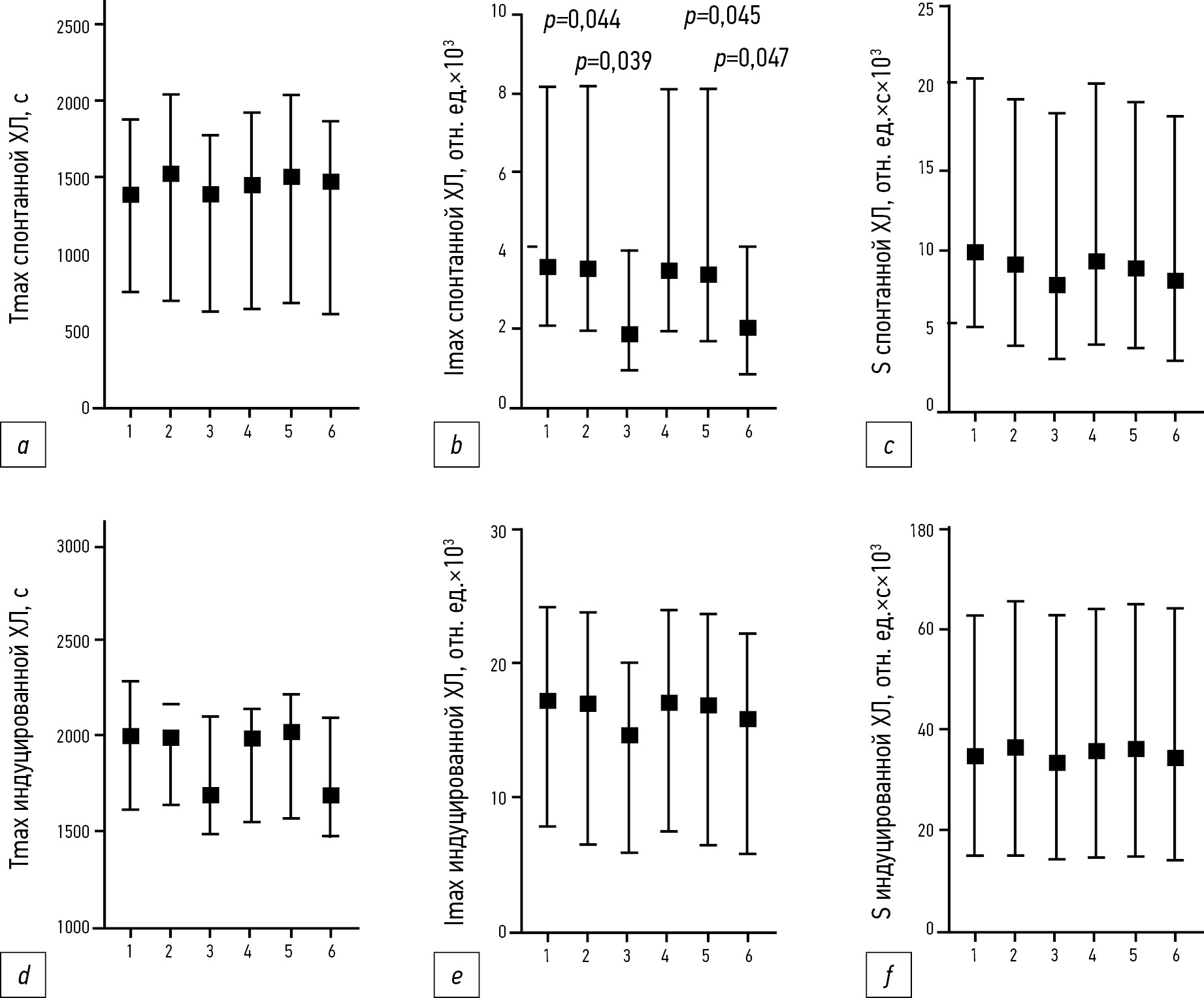
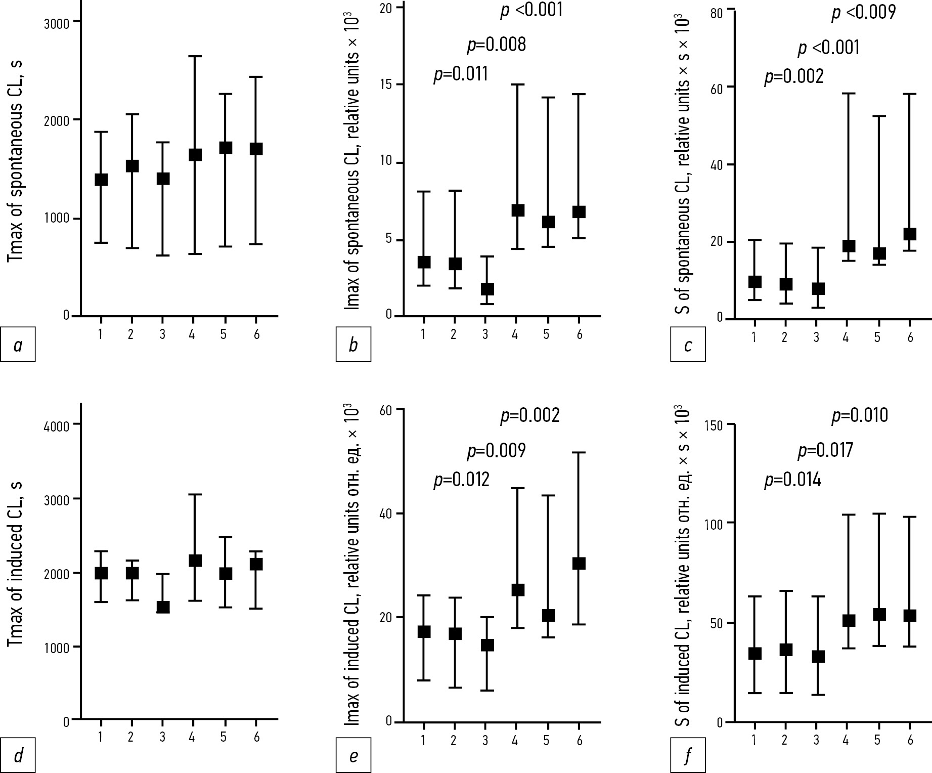
In vitro incubation of neutrophils with laser-treated SLA, RBM, and TiO2 implants (experimental group 2) did not result in significant changes in chemiluminescence parameters. All parameters of spontaneous and zymosan-induced lucigenin-dependent chemiluminescence of neutrophils after incubation with laser-treated implants corresponded to the control values (Fig. 3). However, Imax values for spontaneous and induced chemiluminescence obtained during incubation with laser-treated TiO2 surfaces were significantly lower than those observed with laser-treated SLA and RBM surfaces (Fig. 3 b, e). The AI values for lucigenin-dependent chemiluminescence of neutrophils incubated with laser-treated implants were comparable to controls: 1.68 [0.96–2.88] for SLA; 1.70 [1.00–3.22] for RBM; and 1.72 [1.01–2.96] for TiO2. Similarly, all parameters of luminol-dependent chemiluminescence of neutrophils after incubation with laser-treated implants were consistent with control values (Fig. 4). The AI values for luminol-dependent chemiluminescence were also comparable to controls: 3.84 [1.52–7.68] for SLA; 3.45 [1.36–7.21] for RBM; and 3.62 [1.66–7.04] for TiO2. However, the Imax values of spontaneous luminol-dependent chemiluminescence obtained during incubation with laser-treated TiO2 surfaces were lower compared to those observed with laser-treated SLA and RBM surfaces (Fig. 4 b).
Fig. 3. Indicators of lucigenin-dependent chemiluminescence activity of neutrophils during in vitro incubation with laser-treated implants (2nd experimental group): a — time to reach the maximum of spontaneous chemiluminescence, b — maximum intensity of spontaneous chemiluminescence, c — area under the curve of spontaneous chemiluminescence, d — time to reach the maximum of zymosan-induced chemiluminescence, e — maximum intensity of zymosan-induced chemiluminescence, f — area under the curve of zymosan-induced chemiluminescence. 1 — control (new, taken from the package) SLA implant; 2 — control (new, taken from the package) RBM implant; 3 — control (new, taken from the package) TiO2 implant; 4 — SLA implant treated with YSGG laser with a wavelength of 2780 nm; 5 — RBM implant treated with YSGG laser with a wavelength of 2780 nm; 6 — TiO2 implant treated with YSGG laser with a wavelength of 2780 nm. ХЛ — chemiluminescence.
Fig. 4. Indicators of luminol-dependent chemiluminescence activity of neutrophils during in vitro incubation with laser-treated implants (2nd experimental group): a — time to reach the maximum of spontaneous chemiluminescence, b — maximum intensity of spontaneous chemiluminescence, c — area under the curve of spontaneous chemiluminescence, d — time to reach the maximum of zymosan-induced chemiluminescence, e — maximum intensity of zymosan-induced chemiluminescence, f — area under the curve of zymosan-induced chemiluminescence. 1 — control (new, taken from the package) SLA implant; 2 — control (new, taken from the package) RBM implant; 3 — control (new, taken from the package) TiO2 implant; 4 — SLA implant treated with YSGG laser with a wavelength of 2780 nm; 5 — RBM implant treated with YSGG laser with a wavelength of 2780 nm; 6 — TiO2 implant treated with YSGG laser with a wavelength of 2780 nm. ХЛ — chemiluminescence.
A comparison of lucigenin-dependent chemiluminescence values obtained during in vitro incubation of neutrophils with implants from the both experimental groups revealed the following findings (see Fig. 1, 3). During incubation with laser-treated SLA implants, Imax (p=0.007) and S (p=0.032) values of spontaneous chemiluminescence were lower compared to those obtained after incubation with SLA implants from group 1. At the same time, Tmax of zymosan-induced chemiluminescence increased, while Imax and S values of induced chemiluminescence decreased. Lower values of spontaneous and zymosan-induced chemiluminescence observed after incubation with laser-treated SLA implants also led to decreased AI. During incubation of neutrophils with laser-treated RBM surfaces, an increase in Tmax for spontaneous (p=0.043) and induced (p=0.008) chemiluminescence was observed compared to the values obtained after incubation with RBM implants from experimental group 1. Simultaneously, Imax and S values for spontaneous (p=0.010 and p=0.039, respectively) and induced (p=0.004 and p=0.015, respectively) chemiluminescence decreased, along with a reduction in AI (p=0.017). An increase in Tmax values for spontaneous (p=0.008) and zymosan-induced (p <0.001) chemiluminescence was also noted during incubation with laser-treated TiO2 implants compared to the corresponding values obtained after incubation with implants from group 1. The Imax and S values of spontaneous (p=0.007 and p=0.032, respectively) and induced (p=0.001 and p=0.08, respectively) chemiluminescence, as well as the AI (p=0.011), after incubation with laser-treated TiO2 surfaces were lower than those observed after incubation with the same type of implants from group 1.
The luminol-dependent chemiluminescence of neutrophils activity during in vitro incubation with laser-treated implants was also lower compared to the values observed after incubation with implants from group 1 (see Fig. 2, 4). Specifically, incubation of cells with laser-treated SLA surfaces resulted in a decrease in Imax and S values of spontaneous (p=0.029 and p=0.011, respectively) and zymosan-induced (p=0.030 and p=0.028, respectively) neutrophil chemiluminescence compared to the corresponding values after incubation with the implants from group 1. The AI also decreased (p=0.029). A more pronounced decrease in Imax and S values of spontaneous (p=0.014 and p=0.005, respectively) and induced (p=0.010 and p=0.018, respectively) chemiluminescence, along with a reduction in AI (p=0.012), was observed after incubation with laser-treated RBM surfaces compared to the corresponding values after incubation with the implants from group 1. Similarly, lower Imax and S values of spontaneous (p <0.001 and p=0.009, respectively) and zymosan-induced (p=0.012 and p=0.029, respectively) chemiluminescence, as well as a lower AI (p=0.019), were detected after incubation with laser-treated TiO2 surfaces compared to TiO2 implants from group 1.
The intensity of ROS synthesis by neutrophils is determined by a wide range of functional and regulatory factors [8, 10, 11]. Under in vitro conditions, the chemiluminescence activity of neutrophilic granulocytes essentially reflects the degree of biological irritation induced by the object of incubation (in this case, the implant). Thus, the specific features of the activity and kinetics of lucigenin- and luminol-dependent chemiluminescence responses characterize the biocompatibility of the tested implants.
Lucigenin-dependent chemiluminescence reflects the level of superoxide radical synthesis [10, 13]. Superoxide radicals are synthesized by the NADPH oxidase (NOX) enzyme system, which is localized both on the external membrane of phagocytic cells and intracellularly [10, 14, 15]. Lucigenin cannot penetrate the cell membrane (being a hydrophilic molecule), so lucigenin-dependent chemiluminescence exclusively reflects NOX activity. In contrast, luminol, as a chemiluminescent indicator, can permeate the cell membrane and interact with all types of ROS [10]. Thus, luminol-dependent chemiluminescence characterizes the overall ROS pool (both primary and secondary species) synthesized by phagocytic cells during their functional activity.
In vitro incubation of neutrophils with implants from group 1 led to increased activity of both spontaneous and zymosan-induced lucigenin- and luminol-dependent chemiluminescence, regardless of the implant surface type. This phenomenon is associated with the functional response of neutrophilic granulocytes to the implants and indicates a low level of biocompatibility. At the same time, specific features of the kinetics were revealed: exposure to non–laser-treated implants in vitro resulted in a decrease in Tmax for spontaneous and zymosan-induced lucigenin-dependent chemiluminescence, whereas Tmax values for luminol-dependent chemiluminescence remained unchanged. Tmax reflects the time from reception of a functional-regulatory signal by the cell to the peak development of the chemiluminescence response (determined by Imax) [8, 10]. Thus, contact of neutrophilic granulocytes with non–laser-treated implants caused strong NOX activation, stimulating intracellular metabolic processes and leading to a decrease in Tmax. Meanwhile, induction of secondary ROS synthesis occurs intracellularly through superoxide radical formation and requires more time for mobilizing metabolic reserves and activating related enzymes. Therefore, Tmax values for spontaneous and zymosan-induced luminol-dependent chemiluminescence did not decrease and remained comparable to controls. It is also noteworthy that in vitro interaction of neutrophils with Air Flow–treated implants led to an increase in the AI of both lucigenin- and luminol-dependent chemiluminescence. The activation index reflects the ability of phagocytic cells to additionally synthesize ROS under the influence of functional-regulatory factors [8, 10]. Thus, an increased AI indicates the presence of preserved functional-metabolic reserves in neutrophilic granulocytes after 1-hour incubation with non–laser-treated implants (experimental group 1). Therefore, SLA, RBM, and TiO2 implants explanted from patients with peri-implantitis and treated with Air Flow and chlorhexidine demonstrated insufficient biocompatibility during interaction with neutrophilic granulocytes, as evidenced by increased synthesis of primary and secondary ROS while maintaining functional-metabolic reserves. At the same time, the kinetics of primary and secondary ROS synthesis by neutrophils during incubation with RBM implants suggest that this surface type, after Air Flow treatment, exhibits relatively higher biocompatibility compared to SLA and TiO2 implants.
Secondary Results
No secondary results were identified during the study.
Adverse Events
No adverse events occurred during the study.
DISCUSSION
Summary of Primary Results
In vitro incubation of neutrophils with laser-treated implants demonstrated levels of primary and secondary ROS synthesis comparable to control values. However, lucigenin- and luminol-dependent chemiluminescence activity varied among the implant types. The TiO2 surface elicited the minimal chemiluminescent response from neutrophils compared to SLA and RBM surfaces, likely due to surface-specific properties.
Discussion of Primary Results
The study demonstrated that laser treatment of implants reduces their ability to induce irritation in neutrophilic granulocytes and does not increase their chemiluminescence activity. Thus, laser treatment appears to be the most preferable method of implant surface decontamination compared to the other methods studied.
Study Limitations
- Limited applicability of in vitro results to in vivo conditions, which may affect clinical extrapolation.
- Potential discrepancies between laboratory conditions and the real oral environment, including microbiological and physiological factors.
- Small sample size, which could limit statistical power and the generalizability of results.
- Potential limitations of the chemiluminescence method regarding sensitivity and specificity, possibly affecting the accuracy of neutrophil activity assessment.
- Individual variability in neutrophil responses, which could impact the consistency of the findings.
CONCLUSION
This study demonstrated that SLA, RBM, and TiO2 implants explanted from patients with peri-implantitis and treated with Air Flow and chlorhexidine exhibited low biocompatibility, evidenced by increased synthesis of primary and secondary ROS by neutrophilic granulocytes during in vitro incubation. However, Air Flow-treated RBM implants show relatively superior biocompatibility compared to SLA and TiO2 implants, which is attributed to the decreased synthesis of primary and secondary ROS by neutrophils during in vitro incubation. The level of ROS synthesis by neutrophils during incubation with laser-treated implants was comparable to that observed with brand-new implants (out of the package), indicating an improvement in implant biocompatibility following laser treatment. The laser-treated TiO2 surface induced the minimal level of neutrophil activation during incubation, reflecting the highest biocompatibility of TiO2 among the studied implants.
ADDITIONAL INFORMATION
Funding sources: This work was not supported by any external sources.
Disclosure of interests: The authors declare no explicit or potential conflicts of interests associated with the study and publication of this article.
Author contributions: All authors confirm that their authorship meets the international ICMJE criteria (all authors made substantial contributions to the conceptualization, investigation, and manuscript preparation, and reviewed and approved the final version prior to publication). The greatest contribution is distributed as follows: T.V. Furtsev: conceptualization, critical revision of the article for significant intellectual content, final approval of the article for publication; A.A. Savchenko: data collection and analysis, statistical processing of data, writing — original draft; M.V. Sokolov: investigation, published data review, writing — original draft; I.I. Gvozdev: investigation, writing — original draft.
About the authors
Taras V. Furtsev
Professor V.F. Voino-Yasenetsky Krasnoyarsk State Medical University
Author for correspondence.
Email: taras.furtsev@gmail.com
ORCID iD: 0000-0002-5300-9274
SPIN-code: 7108-0928
MD, Dr. Sci. (Medicine), Professor
Russian Federation, 1a Partizana Zheleznyaka street, 660022 KrasnoyarskAndrei A. Savchenko
Professor V.F. Voino-Yasenetsky Krasnoyarsk State Medical University; Krasnoyarsk Science Centre of the Siberian Branch of Russian Academy of Science
Email: aasavchenko@yandex.ru
ORCID iD: 0000-0001-5829-672X
SPIN-code: 3132-8260
MD, Dr. Sci. (Medicine), Professor
Russian Federation, 1a Partizana Zheleznyaka street, 660022 Krasnoyarsk; KrasnoyarskMaxim V. Sokolov
Professor V.F. Voino-Yasenetsky Krasnoyarsk State Medical University
Email: maks_sokoloff@mail.ru
ORCID iD: 0009-0006-1457-105X
SPIN-code: 6431-7845
MD
Russian Federation, 1a Partizana Zheleznyaka street, 660022 KrasnoyarskIvan I. Gvozdev
Krasnoyarsk Science Centre of the Siberian Branch of Russian Academy of Science
Email: leshman-mult@mail.ru
ORCID iD: 0000-0002-1041-9871
SPIN-code: 6203-4651
MD
Russian Federation, KrasnoyarskReferences
- Garunov MM, Grigoriyants LA, Stepanov AG, et al. Clinical efficacy of hydroxyapatite and tricalcium phosphate modified with hyaluronic acid in the treatment of patients with periimplantitis. Stomatologiia (Mosk). 2022;101(2):42–46. doi: 10.17116/stomat202210102142
- D’Ambrosio F. Periodontal and peri-implant diagnosis: current evidence and future directions. Diagnostics (Basel). 2024;14(3):256. doi: 10.3390/diagnostics14030256
- Barão VA, Mathew MT, Assunção WG, et al. The role of lipopolysaccharide on the electrochemical behavior of titanium. J Dent Res. 2011;90(5):613–618. doi: 10.1177/0022034510396880
- Furtsev TV, Zeer GM. Comparative research of implants with three types of surface processing (TiUnite, SLA, RBM), control, with periimplantitis and processed by 2780 nm Er;Cr;YSGG laser. Stomatologiia (Mosk). 2019;98(3):52–55. doi: 10.17116/stomat20199803152
- Jung S, Bohner L, Hanisch M, et al. Influence of implant material and surface on mode and strength of cell/matrix attachment of human adipose derived stromal cell. Int J Mol Sci. 2020;21(11):4110. doi: 10.3390/ijms21114110
- Singhal A., Kumar S. Neutrophil and remnant clearance in immunity and inflammation. Immunology. 2022;165(1):22–43. doi: 10.1111/imm.13423
- Xiao Y, Cheng Y, Liu WJ, et al. Effects of neutrophil fate on inflammation. Inflamm Res. 2023;72(12):2237–2248. doi: 10.1007/s00011-023-01811-2
- Savchenko AA, Borisov AG, Zdzitovetskiy DE, et al. Dependence of neutrophil respiratory burst on their metabolic state in the patients with acute destructive pancreatitis of different severity. Medical Immunology (Russia). 2019;21(1):77–88. EDN: YXRXVR doi: 10.15789/1563-0625-2019-1-77-88
- Othman A, Sekheri M, Filep JG. Roles of neutrophil granule proteins in orchestrating inflammation and immunity. FEBS J. 2022;289(14):3932–3953. doi: 10.1111/febs.15803
- Savchenko AA, Kudryavtsev IV, Borisov AG. Methods of estimation and the role of respiratory burst in the pathogenesis of infectious and inflammatory diseases. Russian Journal of Infection and Immunity. 2018;7(4):327–340. EDN: YNSRGI doi: 10.15789/2220-7619-2017-4-327-340
- El-Benna J, Hurtado-Nedelec M, Gougerot-Pocidalo MA, Dang PM. Effects of venoms on neutrophil respiratory burst: a major inflammatory function. J Venom Anim Toxins Incl Trop Dis. 2021;27:e20200179. doi: 10.1590/1678-9199-JVATITD-2020-0179
- Biller JD, Takahashi LS. Oxidative stress and fish immune system: phagocytosis and leukocyte respiratory burst activity. An Acad Bras Cienc. 2018;90(4):3403–3414. doi: 10.1590/0001-3765201820170730
- Rodrigues LC, Cerri DG, Marzocchi-Machado CM, et al. Detection of reactive oxygen species in human neutrophils under various conditions of exposure to galectin. Methods Mol Biol. 2022;2442:549–564. doi: 10.1007/978-1-0716-2055-7_29
- García JG, Ansorena E, Izal I, et al. Structure, regulation, and physiological functions of NADPH oxidase 5 (NOX5). J Physiol Biochem. 2023;79(2):383–395. doi: 10.1007/s13105-023-00955-3
- Paclet MH, Laurans S, Dupré-Crochet S. Regulation of neutrophil NADPH oxidase, NOX2: a crucial effector in neutrophil phenotype and function. Front Cell Dev Biol. 2022;10:945749. doi: 10.3389/fcell.2022.945749
Supplementary files








