Effect of citric acid concentration and etching duration on the surface roughness of prepared human tooth enamel: an in vitro study
- Authors: Maksyukov S.Y.1, Maksyukova E.S.1, Risovannaya O.N.2
-
Affiliations:
- Rostov State Medical University
- Kuban State Medical University
- Issue: Vol 29, No 1 (2025)
- Pages: 21-34
- Section: Experimental and Theoretical Investigation
- Submitted: 20.08.2024
- Accepted: 29.11.2024
- Published: 01.03.2025
- URL: https://rjdentistry.com/1728-2802/article/view/635284
- DOI: https://doi.org/10.17816/dent635284
- ID: 635284
Cite item
Abstract
BACKGROUND: Citric acid, commonly encountered through the consumption of fruits and juices, is a frequent factor affecting teeth in daily life. It contributes to enamel dissolution, exposing the underlying dentin in the crown region and potentially leading to significant tooth surface loss. On the other hand, acid etching is widely used in restorative dentistry to enhance the adhesion of restorative materials to tooth surfaces. This process partially dissolves and demineralizes the enamel’s inorganic matrix, creating micropores and microgrooves that increase surface roughness. Pre-etching of enamel improves the bond strength of resin-based adhesives compared to non-etched enamel. Orthodontists also employ acid etching to create retention surfaces, which enhances bracket adhesion but simultaneously weakens adjacent enamel prisms, increases permeability, promotes biofilm adhesion, and reduces enamel’s protective properties.
AIM: To evaluate the effect of citric acid exposure time and etching duration on the surface properties of dental hard tissues, including enamel and dentin.
MATERIALS AND METHODS: Three enamel samples were obtained from a maxillary molar extracted from a 21-year-old male patient. The tooth was embedded in epoxy resin for easier sectioning. Sectioning parameters on the IsoMet 4000 (Buehler, Switzerland) were set to a disk rotation speed of 2500 rpm and a feed rate of 10 mm/min. Three distinct areas were selected for analysis. Each sample was embedded in epoxy resin again for subsequent grinding and polishing, which was performed simultaneously for all three samples using the MetaServ 250 (Buehler, Switzerland). The prepared enamel surfaces were examined using an optical microscope (Stemi 305; Carl Zeiss, Germany) equipped with a color video camera (Axiocam 105; Carl Zeiss, Germany) under reflected light. The samples were etched as follows: Sample 1 with 0.5 wt.% citric acid (pH = 2.3), Sample 2 with 3 wt.% citric acid (pH = 1.86), and Sample 3 with 5 wt.% citric acid (pH = 1.71). The pH was measured using Cobra4 Mobile-Link (PHYWE, Germany). Atomic force microscopy of enamel surface topography before and after etching was performed using the NANOEDUCATOR microscope (NT-MDT, Russia) with a tungsten probe operating in non-contact mode. Surface roughness (Ra) was measured at each etching stage for each sample using the Gwyddion software (Czech Metrology Institute, Czech Republic).
RESULTS: Optical microscopy provided images of enamel, dentin, and the dentinoenamel junction, confirming the healthy condition of the examined samples. The findings suggest that 5 wt.% citric acid is more suitable for controlled etching than 37% phosphoric acid, as prolonged exposure to phosphoric acid can cause severe enamel damage. AFM analysis demonstrated the surface characteristics of each sample before and after etching at different time intervals. A linear increase in surface roughness was observed in all samples after 45 s of etching.
CONCLUSION: For achieving significant surface roughness and visualizing enamel prisms within a reasonable timeframe, etching with 5 wt.% citric acid is recommended. However, further studies on the adhesive properties of enamel post-etching with citric acid are necessary for clinical implementation.
Keywords
Full Text
ОБОСНОВАНИЕ
Зубы подвергаются воздействию различных кислот во время ежедневного функционирования. Очень распространённым источником воздействия является лимонная кислота (при употреблении фруктов или соков). Несмотря на исключительные прочностные свойства человеческой эмали, покрывающей нижележащий дентин в области коронки зуба, кислые пищевые продукты и напитки способствуют её растворению [1–3]. Это может привести к потере значительной поверхности зуба. С другой стороны, в клинической практике широко используется кислотно-локализованное травление для увеличения сцепления реставрационных материалов с поверхностью зуба. Оно обеспечивает частичное растворение и деминерализацию неорганического матрикса поверхности эмали, в результате чего формируются микропористости и микропазы [4–8]. Этот процесс приводит к увеличению шероховатости поверхности эмали. Предварительное травление эмали способно улучшить значения прочности сцепления систем связывания на основе смолы с эмалью по сравнению с использованием тех же систем без предварительного травления [9, 10]. Для этих целей могут быть использованы различные кислоты [11–13]. Ортодонты также используют кислоту для формирования удерживающих поверхностей, что, с одной стороны, улучшает фиксацию брекета, но, с другой стороны, ослабляет структуру смежных эмалевых призм, повышает проницаемость и адгезию биоплёнки к эмали и снижает её защитные свойства [14].
В научных целях разумное применение кислотного травления позволяет визуализировать структурные элементы зубной эмали для дальнейшего изучения. Атомно-силовая микроскопия (АСМ) широко используется для изучения влияния кислотного травления на состояние поверхности эмали. D.C. Serbanoiu и соавт. [15] изучали возможность различных способов приготовления эмали влиять на появление артефактов во время АСМ-измерений. F. Watari [16] провёл исследование эволюции микрогеометрии поверхности зубов с применением трёх кислотных агентов. J.P. Simmer с соавт. [17] использовали АСМ для изучения возможностей зубной пасты, содержащей трикальциевый силикат, к реминерализации протравленной кислотой человеческой эмали in vitro. J.P. Loyola-Rodriguez и соавт. [18] сравнили шероховатость поверхности эмали и профиль абсолютной глубины до и после использования четырёх разных концентраций фосфорной кислоты с помощью АСМ. В настоящем исследовании мы применили АСМ для оценки средней шероховатости поверхности (Ra) трёх образцов человеческой эмали из одного зуба. Образцы подвергали травлению с использованием лимонной кислоты различной концентрации в течение разного времени. Для каждой пары «концентрация кислоты–продолжительность травления» значения Ra были определены количественно в трёх направлениях — горизонтальном, вертикальном и диагональном, построены профили поверхности и получены АСМ-изображения поверхностей.
Цель исследования — оценка влияния времени воздействия лимонной кислоты и времени травления на свойства поверхности твёрдых тканей зуба, включая эмаль и дентин.
МАТЕРИАЛЫ И МЕТОДЫ
Дизайн исследования
Проведено интервенционное одноцентровое выборочное неконтролируемое исследование эмали, дентина и дентиноэмалевой границы зуба с использованием оптической микроскопии и АСМ.
Критерии соответствия
Критерии включения:
- зубы интактные;
- зубы, удалённые по ортодонтическим показаниям.
Критерии невключения:
- зубы, повреждённые кариесом.
Условия проведения
Исследование выполнено в РЦКП Научно-образовательного центра «Материалы» и на кафедре «Химия» Донского государственного технического университета. Зуб был удалён в стоматологическом отделении клиники Ростовского государственного медицинского университета.
Продолжительность исследования
Эксперименты проводились в течение 6 мес.
Подготовка образцов
Из верхнечелюстного моляра, который был удалён по ортодонтическим причинам у пациента (мужчина, 21 год), получены три образца человеческой эмали.
После удаления зуб выдерживали в 1% растворе гипохлорита натрия (NaClO) в течение 10 мин. Затем его хранили в сбалансированном солевом растворе Хенкса при 4 °С с добавлением гранул тимола для предотвращения роста грибков. Соотношение тимола и сбалансированного солевого раствора Хенкса составляло 1:1000. Зуб был залит эпоксидной смолой для удобства резки. Параметры резки на станке Iso M et 4000 (Buehler, Швейцария) были следующими: скорость вращения диска — 2500 об./мин, скорость подачи образца — 10 мм/мин. Охлаждение пилы осуществляли непрерывной подачей охлаждающей жидкости (Cool 2; Buehler, Швейцария). Два разреза были сделаны таким образом, чтобы второй разрез образовывал срез средней части зуба с повреждением белого пятна (образец перемещали относительно диска с помощью микрометра, встроенного в аппарат). Таким образом, после резки были получены два продольных среза, содержащих здоровую эмаль. На втором этапе каждый из этих двух участков дополнительно разрезали в поперечном направлении, перпендикулярном плоскости первого разреза. Резка проводилась на той же машине и по тем же параметрам, однако на этот раз мы использовали диск из кубического нитрида бора с той же подачей охлаждающей жидкости. В результате выбраны три области в качестве образцов для исследования. Каждый образец снова был залит эпоксидной смолой для обеспечения возможности последующего шлифования и полировки, что было проведено одновременно для всех трёх образцов на станке MetaServ 250 (Buehler, Швейцария). Нагрузка на образец на каждой из стадий шлифования и полировки составляла 10 Н, скорость вращения диска — 100 об./мин. В качестве смазки использовали проточную воду. Подробная информация о параметрах шлифовки приведена в табл. 1.
Таблица 1. Параметры шлифовки
Table 1. Grinding parameters
Этап шлифовки | Размер зерна | Абразивная бумага | Время шлифовки, с |
1 | P800 | Siawat 1913 SiC-based (Sia Abrasives, Швейцария) | 60 |
2 | P1500 | Smirdex SiC-based (Smirdex, Греция) | 30 |
3 | P2500 | Smirdex SiC-based (Smirdex, Греция) | 30 |
Для полировки использовали одинаковую нагрузку и скорость вращения диска. Была приготовлена смазка, состоящая из глицерина и пропиленгликоля, смешанных в пропорции 1:1. Подробная информация о параметрах полировки показана в табл. 2.
Таблица 2. Параметры полировки
Table 2. Polishing parameters
Этапы полировки | Размер частиц, мкм | Абразивная жидкость | Время полировки, с | Смазка | Ткань |
1 | 6 | MetaDi (Buehler, Швейцария) | 120 | Глицерин + пропиленгликоль | Trident |
2 | 3 | MetaDi (Buehler, Швейцария) | 30 | Глицерин + пропиленгликоль | Trident |
3 | 1 | MetaDi (Buehler, Швейцария) | 360 | Глицерин + пропиленгликоль | Veltex |
4 | 0,05 | MasterPrep (MasterKit, Италия) | 480 | Дистиллированная вода | Veltex |
Между каждым этапом шлифовки и полировки проводили ультразвуковую чистку каждого образца в ванне с дистиллированной водой (Sonorex RK 31; Bandelin, Германия) в течение 5 мин и в течение 10 мин после окончательной полировки.
Оптическая микроскопия
После подготовки образца поверхность зубов исследовали с помощью оптического микроскопа Stemi 305 (Carl Zeiss, Германия), оснащённого цветной видеокамерой Axiocam 105 (Carl Zeiss, Германия) в отражённом свете (рис. 1). Эмаль, дентин и дентиноэмалевые границы были чётко видны на изображениях, указывающих на здоровое состояние исследуемых образцов. Образец 1 травили кислотой в концентрации 0,5 мас. % (рН = 2,3), образец 2 — в концентрации 3 мас. % (рН = 1,86), образец 3 — в концентрации 5 мас. % (рН = 1,71). рН измеряли, используя Cobra4 Mobile-Link (PHYWE, Германия). Перед измерением датчик калибровали в растворах с известным pH. На каждом образце травление проводили последовательно в течение пяти периодов: 1, 15, 30, 45, 60 с. Для травления в течение 1 с поверхности образца касались безворсовой тканью, пропитанной кислотой. В течение четырёх других периодов травление осуществляли погружением образца в соответствующий раствор кислоты. После воздействия с кислотой образцы были очищены ультразвуком в дистиллированной воде.
Рис. 1. Выбранные области поверхности для сканирования с помощью атомно-силовой микроскопии: a — образец 1; b — образец 2; c — образец 3. © Эко-Вектор, 2025.
Fig. 1. Selected surface areas for atomic force microscopy scanning: a — sample 1; b — sample 2; c — sample 3. © Eco-Vector, 2025.
Атомно-силовая микроскопия
Исследование топографии поверхности эмали для каждого образца до и после травления проводили с помощью АСМ на микроскопе NANOEDUCATOR (NT-MDT, Россия), оборудованном вольфрамовым зондом. Устройство работало в бесконтактном режиме. Для всех полученных изображений разрешение составляло 256 × 256 точек, а скорость сканирования — 20 мм/с. Позиционирование выполняли с помощью оптического USB-микроскопа, закреплённого на штативе.
Этическая экспертиза
Работа выполнена в соответствии с этическими принципами Хельсинкской декларации (2013), ГОСТ Р 52379-2005 «Надлежащая клиническая практика», приказом Минздрава России от 01.04.2016 N 200н «Об утверждении правил надлежащей клинической практики». Исследование одобрено этическим комитетом Ростовского государственного медицинского университета (протокол № 13/22 от 08.09.2022), от пациента получено письменное добровольное информированное согласие.
РЕЗУЛЬТАТЫ И ОБСУЖДЕНИЕ
Исследование поверхности с помощью оптической микроскопии
Эмаль, дентин и дентиноэмалевая граница были чётко видны на изображениях, которые указывают на здоровое состояние исследуемых образцов (см. рис. 1). Полосы Гунтера–Шрегера также были визуализированы на всех образцах.
Исследование поверхности с помощью атомно-силовой микроскопии
Поверхность каждого из трёх образцов до и после травления в течение 1 с показана на рис. 2, на рис. 3 — после 15 и 30 с травления, на рис. 4 — после 45 и 60 с травления. На рис. 5 показаны профили поверхности для каждого из образцов после каждого этапа травления. Монокристаллы гидроксиапатита можно увидеть на изображении, полученном с помощью атомно-силового микроскопа Nano Compact (Phywe, Германия), на горизонтальном профиле поверхности образца 1 после травления в течение 60 с (рис. 6, 7).
Рис. 2. АСМ-изображения поверхностей перед травлением (a — образец 1, b — образец 2, c — образец 3) и после 1 с травления (d — образец 1, e — образец 2, f — образец 3). Изображения не отражают детали микроструктуры. АСМ — атомно-силовая микроскопия. © Эко-Вектор, 2025.
Fig. 2. AFM images of surfaces before etching (a — sample 1, b — sample 2, c — sample 3) and after 1 s of etching (d — sample 1, e — sample 2, f — sample 3). The images do not reflect the details of the microstructure. AFM — atomic force microscopy. © Eco-Vector, 2025.
Рис. 3. АСМ-изображения поверхностей после 15-секундного травления образцов (a — образец 1, b — образец 2, c — образец 3) и после 30-секундного травления (d — образец 1, e — образец 2, f — образец 3). Наблюдается качественное изменение микрогеометрии поверхности. АСМ — атомно-силовая микроскопия. © Эко-Вектор, 2025.
Fig. 3. AFM images of surfaces after 15-second etching of samples (a — sample 1, b — sample 2, c — sample 3) and after 30-second etching (d — sample 1, e — sample 2, f — sample 3). Qualitative change in surface microgeometry. AFM — atomic force microscopy. © Eco-Vector, 2025.
Рис. 4. АСМ-изображения поверхностей образцов после 45 с травления (a — образец 1, b — образец 2, c — образец 3) и после 60 с травления (d — образец 1, e — образец 2, f — образец 3). АСМ — атомно-силовая микроскопия. © Эко-Вектор, 2025.
Fig. 4. AFM images of sample surfaces after 45 s of etching (a — sample 1, b — sample 2, c — sample 3) and after 60 s of etching (d — sample 1, e — sample 2, f — sample 3). AFM — atomic force microscopy. © Eco-Vector, 2025.
Рис. 5. Профили поверхности образцов после каждого этапа травления: 1 — без травления, 2 — после травления в течение 1 с, 3 — в течение 15 с, 4 — в течение 30 с, 5 — в течение 45 с, 6 — в течение 60 с. © Эко-Вектор, 2025.
Fig. 5. Surface profiles of the samples after each etching step: 1 — without etching, 2 — after etching for 1 s, 3 — for 15 s, 4 — for 30 s, 5 — for 45 s, 6 — for 60 s. © Eco-Vector, 2025.
Рис. 6. Изображение высокого разрешения образца 1 после 60 с травления. © Эко-Вектор, 2025.
Fig. 6. High-resolution image of sample 1 after 60 s of etching. © Eco-Vector, 2025.
Рис. 7. Горизонтальный профиль поверхности образца 1 после 60 с травления (с высоким разрешением). © Эко-Вектор, 2025.
Fig. 7. Horizontal surface profile of sample 1 after 60 s of etching (with high resolution). © Eco-Vector, 2025.
Поле сканирования составляло 1,01 × 1,01 мм. Микроскоп был снабжён монокристаллическим Si -зондом с Al -покрытием с резонансной частотой 19 060 кГц и постоянной жёсткостью 48 Н/м. Сканирование поверхности проводилось в динамическом режиме со скоростью сканирования 0,3 мс на линию. Разрешение по оси составляло 1,1 нм, средний квадратичный уровень шума в моде по оси высот — 0,5 нм.
Измерения шероховатости поверхности
Шероховатость поверхности Ra измеряли на каждом этапе травления для каждого образца с использованием программного обеспечения Gwyddion (Чешский метрологический институт, Чешская Республика). Последнее измерение было определено по результатам АСМ-профиля поверхности, полученным на основании данных АСМ (см. рис. 2–5). Из-за возможной нерегулярности визуализированной структуры мы считали измерение шероховатости, основанное на единственном профиле шероховатости в одном направлении, недостаточно корректным. В настоящей работе шероховатость поверхности измерялась в трёх направлениях: горизонтальном, вертикальном и диагональном. В каждом из направлений было построено пять профилей.
Среднее значение этих пяти профилей было принято как абсолютное в этом направлении (Raavg). Среднее значение шероховатости в трёх направлениях является абсолютным значением шероховатости данной поверхности (Raabsol). Результаты измерений для образцов 1–3 представлены в табл. 3–5 соответственно.
Таблица 3. Шероховатость поверхности Ra для образца 1
Table 3. Surface roughness Ra for the sample 1
Время, с | Число выбранных точек профиля на базовой длине n | Горизонтальное направление Ra(n) | Raavg | Вертикальное направление Ra(n) | Raavg | Диагональное направление Ra(n) | Raavg | Абсолютная величина шероховатости поверхности Raabsol |
0 | 1 | 26,9 | 22,5 | 26,6 | 27, 1 | 18,4 | 22,8 | 24,1 |
2 | 26,3 | 27,1 | 21,3 | |||||
3 | 20,8 | 26,6 | 21,3 | |||||
4 | 21,0 | 28,7 | 28,4 | |||||
5 | 17,3 | 26,5 | 24,3 | |||||
1 | 1 | 30,4 | 31,0 | 33,1 | 29,6 | 20,0 | 24,4 | 28,3 |
2 | 31,5 | 28,7 | 27,0 | |||||
3 | 30,0 | 25,8 | 20,7 | |||||
4 | 27,8 | 28,9 | 30,4 | |||||
5 | 35,3 | 31,3 | 23,8 | |||||
15 | 1 | 27,6 | 30,5 | 19,4 | 20,2 | 24,8 | 26,4 | 25,7 |
2 | 30,1 | 10,0 | 32,8 | |||||
3 | 31,6 | 20,4 | 21,8 | |||||
4 | 35,6 | 18,4 | 32,1 | |||||
5 | 27,6 | 26,0 | 20,5 | |||||
30 | 1 | 91,7 | 99,5 | 82,1 | 101,8 | 82,5 | 103,0 | 101,4 |
2 | 153,0 | 125,3 | 103,6 | |||||
3 | 107,4 | 110,9 | 147,8 | |||||
4 | 67,0 | 110,1 | 110,2 | |||||
5 | 78,5 | 80,4 | 70,9 | |||||
45 | 1 | 125,6 | 120,0 | 153,1 | 137,7 | 128,4 | 115,0 | 124,2 |
2 | 137,9 | 123,8 | 115,9 | |||||
3 | 133,2 | 86,4 | 126,4 | |||||
4 | 104,3 | 153,3 | 126,6 | |||||
5 | 99,2 | 161,8 | 77,6 | |||||
60 | 1 | 194,2 | 130,8 | 111,4 | 126,6 | 160,6 | 161,8 | 139,7 |
2 | 142,0 | 145,6 | 150,6 | |||||
3 | 94,5 | 123,8 | 130,3 | |||||
4 | 133,1 | 134,4 | 187,0 | |||||
5 | 90,1 | 117,9 | 180,6 |
Таблица 4. Шероховатость поверхности Ra для образца 2 (выводы)
Table 4. Surface roughness Ra for the sample 2 (conclusions)
Время, с | Горизонтальное направление Raavg | Вертикальное направление Raavg | Диагональное направление Raavg | Raabsol |
0 | 17,1 | 32,6 | 28,0 | 25,9 |
1 | 20,4 | 212 | 17,4 | 9,7 |
15 | 28,7 | 40,6 | 27,6 | 32,3 |
30 | 52,4 | 70,9 | 84,3 | 69,2 |
45 | 64,0 | 69,6 | 64,2 | 65,9 |
60 | 79,0 | 83,8 | 87,7 | 83,5 |
Таблица 5. Шероховатость поверхности Ra для образца 3 (выводы)
Table 5. Surface roughness Ra for the sample 3 (conclusions)
Время, с | Горизонтальное направление Raavg | Вертикальное направление Raavg | Диагональное направление Raavg | Raabsol |
0 | 25,7 | 19,0 | 15,8 | 20,2 |
1 | 26,6 | 43,6 | 38,2 | 36,1 |
15 | 126,3 | 121,7 | 106,7 | 118,2 |
30 | 89,0 | 77,5 | 87,2 | 84,6 |
45 | 171,1 | 151,9 | 142,0 | 155,0 |
60 | 255,8 | 225,0 | 242,0 | 241,0 |
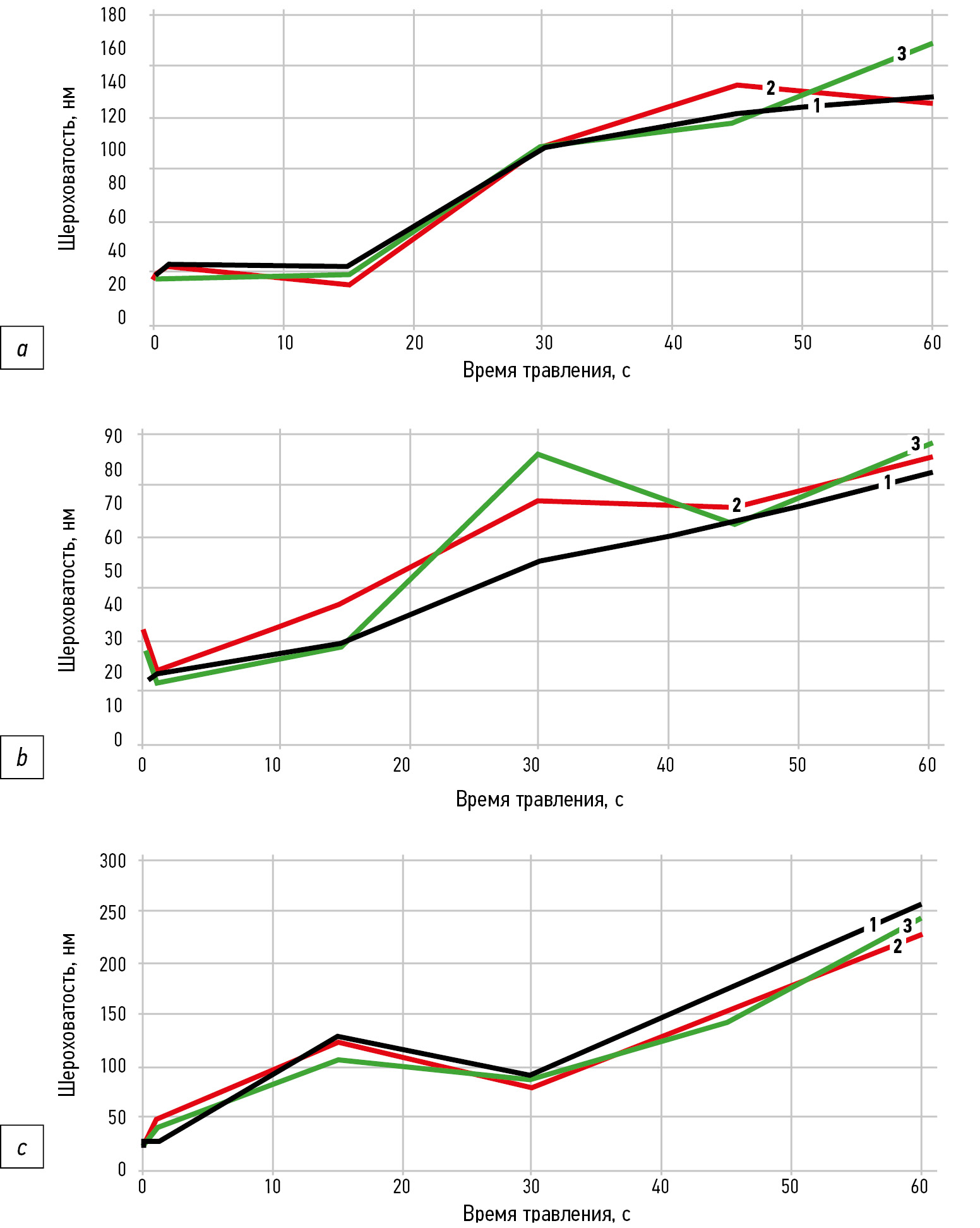
Отслеживание изменений, которые произошли на поверхностях образцов во время травления, позволило нам заметить некоторые конкретные важные детали. Поверхность до травления (см. рис. 2, a – c) и после травления в течение 1 с (см. рис. 2, d – f) не продемонстрировала наличия какого-либо ярко выраженного рельефа, была покрыта гладким смазанным слоем, образовавшимся после полировки. Этот слой формировался из остатков структурных компонентов эмали и редких включений абразива в процессе шлифовки/полировки [19]. Исследование поверхности образцов после 15-секундного травления также показало наличие смазанного слоя на образцах 1 и 2 (см. рис. 3, а, b), которые травились более низкими концентрациями лимонной кислоты. Неровно закруглённые структурные элементы — эмалевые призмы (см. рис. 3, c) — отчётливо визуализируются на поверхности образца 3. Последнее наблюдение предполагает, что 15 с травления лимонной кислотой в концентрации 5 мас. % было достаточно для полного удаления смазанного слоя. Особенностью, которая очевидна на последнем изображении, является дифференциальная скорость растворения эмалевых призм. Мониторинг поверхности после 30-секундного травления (см. рис. 3, d – f) на всех образцах показал наличие эмалевых призм в форме круглых и каплеобразных элементов. Кроме того, увеличилось количество визуализируемых элементов поверхности. Более детальная структура отчётливо видна на образцах 2 и 3 (см. рис. 4, e, f). Дополнительная особенность, наблюдаемая на этих и более поздних изображениях, состоит в том, что существует различная ориентированность призм, которые могут быть отнесены к различным исследуемым областям одного и того же зуба. В образцах 2 и 3 призмы выглядят наклонными, в то время как в образце 1 они более нормальны к поверхности. В соответствии с зависимостями шероховатости поверхности Ra от времени травления в разных направлениях (рис. 8) и абсолютной величины шероховатости поверхности Raabsol при увеличении времени травления (рис. 9) после 30 с травления шероховатость увеличивается довольно устойчивым образом, а после 45 с травления может наблюдаться линейное увеличение значений Raabsol.
Рис. 8. Зависимость шероховатости поверхности Ra от времени травления в разных направлениях (1 — горизонтальное, 2 — вертикальное, 3 — диагональное) для: а — образца 1, b — образца 2, c — образца 3. © Эко-Вектор, 2025.
Fig. 8. Dependence of the surface roughness Ra on the etching time in different directions (1 — horizontal, 2 — vertical, 3 — diagonal) for: а — sample 1, b — sample 2, c — sample 3. © Eco-Vector, 2025.
Рис. 9. Зависимость абсолютной величины шероховатости поверхности Raabsol от времени травления для всех образцов. Номер на графике соответствует номеру образца. © Эко-Вектор, 2025.
Fig. 9. Dependence of the absolute value of the surface roughness of Raabsol on the etching time for all samples. The number on the graph corresponds to the sample number. © Eco-Vector, 2025.
Травление в течение 45 с привело к приобретению более выраженных контуров структурных элементов образцов 2 и 3 (см. рис. 4, b, c). Структура образца 1 по-прежнему оставалась плохо упорядоченной. Непротравленное межпризменное вещество эмали также оставалась на поверхности образцов 1 и 2 (см. рис. 5, а, b). После травления образцов в течение 60 с дальнейших существенных изменений в структуре образцов 1 и 3 не наблюдалось (см. рис. 4, d; см. рис. 4, e). В случае образца 1 концентрация кислоты была все ещё недостаточной для полного удаления эмали из межпризменной области. Структурные элементы образца 2 немного увеличились в размерах и приобрели более обтекаемую форму при протравливании эмали из межпризменного пространства. С увеличением времени травления для всех образцов наблюдалось увеличение чёткости границ призм на профилях поверхности (см. рис. 5). Однако этот процесс более ярко выражен для образца 3. При сравнении результатов травления человеческой эмали с использованием 37% фосфорной кислоты [5] (где авторы получили среднюю шероховатость поверхности 260,9 нм через 30 с) процесс травления в настоящем исследовании протекает медленнее. Нам удалось получить сопоставимое значение шероховатости, используя травление в течение 60 с 5 мас. % лимонной кислотой. В связи с этим можно сделать вывод, что лимонная кислота указанной концентрации больше подходит для контролируемого травления, чем 37% фосфорная кислота. Известно также, что при длительном воздействии фосфорной кислоты эмаль может быть серьёзно повреждена [20].
ЗАКЛЮЧЕНИЕ
Рассчитана зависимость абсолютных значений шероховатости поверхности от времени травления для всех образцов. Для получения значительной величины шероховатости поверхности и визуализации эмалевой призмы в разумные сроки можно рекомендовать травление лимонной кислотой в концентрации 5 мас. %. После травления в течение 45 с на всех образцах наблюдалось линейное увеличение шероховатости поверхности. Для дальнейшей клинической реализации полученных результатов необходимы дополнительные исследования адгезионных свойств эмали после травления лимонной кислотой.
ДОПОЛНИТЕЛЬНАЯ ИНФОРМАЦИЯ
Источник финансирования. Работа выполнена при поддержке гранта Правительства Российской Федерации № 14.Z50.31.0046.
Раскрытие интересов. Авторы декларируют отсутствие отношений, деятельности и интересов (личных, профессиональных или финансовых), связанных с третьими лицами (коммерческими, некоммерческими, частными), интересы которых в свою очередь могут быть затронуты содержанием рукописи, а также других отношений, деятельности или интересов за последние три года, о которых необходимо сообщить.
Участие авторов. С.Ю. Максюков — удаление зубов по ортодонтическим показаниям, обзор литературы, сбор и анализ литературных источников, написание текста и редактирование статьи; Е.С. Максюкова — обзор литературы, сбор и анализ литературных источников, подготовка и написание текста статьи; О.Н. Рисованная — курация, сбор и анализ литературных источников, подготовка и написание текста статьи. Все авторы одобрили рукопись (версию для публикации), а также согласились нести ответственность за все аспекты работы и гарантировали, что вопросы, связанные с точностью или добросовестностью любой части работы, будут должным образом рассмотрены и решены.
ADDITIONAL INFORMATION
Funding source. The work was supported by a grant from the Government of the Russian Federation grant No. 14.Z50.31.0046.
Disclosure of interests. The authors have no relations hips, activities or interests (personal, professional or financial) with for-profit or not-for-profit third parties whose interests may be affected by the content of the manuscript, as well as other relationships, activities or interests for the last three years that needed to disclose.
Authors’ contribution. S.Yu. Maksyukov — dental extraction for orthodontic indications, literature review, collection and analysis of literary sources, writing and editing of the article; E.S. Maksyukova — literature review, collection and analysis of literary sources, preparation and writing of the text of the article; O.N. Risovannaya — curation, collection and analysis of literary sources, preparation and writing the text of the article. Thereby, all authors provided approval of the version to be published and agree to be accountable for all aspects of the work in ensuring that questions related to the accuracy or integrity of any part of the work are appropriately investigated and resolved.
About the authors
Stanislav Yu. Maksyukov
Rostov State Medical University
Author for correspondence.
Email: kafstom2.rostgmu@yandex.ru
ORCID iD: 0000-0001-7823-8906
SPIN-code: 8542-8660
MD, Dr. Sci. (Medicine), Professor
Russian Federation, Rostov-on-DonEkaterina S. Maksyukova
Rostov State Medical University
Email: Katerina_maksyukova@mail.ru
ORCID iD: 0009-0004-5495-6726
MD, Cand. Sci. (Medicine)
Russian Federation, Rostov-on-DonOlga N. Risovannaya
Kuban State Medical University
Email: dentrosa@mail.ru
ORCID iD: 0000-0003-0779-1055
SPIN-code: 6283-6910
MD, Dr. Sci. (Medicine), Professor
Russian Federation, KrasnodarReferences
- Egina DV, Maksyukov SYu, Nektarevskaya IB. Mechanical properties of tooth enamel and dentin after etching with citric acid with different concentrations using nanoindentation. Stomatologija dlja vseh. 2023;(2):12–15. doi: 10.35556/idr-2023-2(103)12-15 EDN: IWAYCM
- George J, Mary Varughese J, Narayanankutty SK, et al. The effect of food polymers (pectin, alginate, and gum arabic) on carbonated drink-induced enamel demineralization: an in vitro study. Cureus. 2024;16(3):e56385. doi: 10.7759/cureus.56385 EDN: RXGBCL
- Wang Y, Chen S, Tan S. A monetite/amorphous silica complex for long-term dentine hypersensitivity treatment through the acid stability and mineralization promoting effect of silica. J Mater Chem B. 2024;12(41):10736–10744. doi: 10.1039/d4tb00600C EDN: LNVGNC
- House KL, Pan L, O’Carroll DM, Xu S. Applications of scanning electron microscopy and focused ion beam milling in dental research. Eur J Oral Sci. 2022;130(2):e12853. doi: 10.1111/eos.12853 EDN: ZXTUKD
- Signore A, Solimei L, Arakelyan MG, et al. Signore a 24-month randomized clinical study of flowable bulk-fill resin composites in class III restorations. J Clin Exp Dent. 2024;16(2):e111–e123. doi: 10.4317/jced.61153 EDN: HVQVXX
- Kaya A, Bilgiç Zortuk F. Comparison of enamel discoloration using flash-free and conventional adhesive brackets with different finishing protocols. Turk J Orthod. 2023;36(4):248–253. doi: 10.4274/TurkJOrthod.2023.2022.154 EDN: YLCBUS
- Torres-Gallegos I, Zavala-Alonso V, Patiño-Marín N, et al. Enamel roughness and depth profile after phosphoric acid etching of healthy and fluorotic enamel. Aust Dent J. 2012;57(2):151–156. doi: 10.1111/j.1834-7819.2012.01677.x
- Sadyrin EV, Kislyakov EA, Karotkiyan RV, et al. Influence of citric acid concentration and etching time on enamel surface roughness of prepared human tooth: in vitro study. In: Plasticity, damage and fracture in advanced materials. 2020. P. 135–150. doi: 10.1007/978-3-030-34851-9_8
- Alcántara-Obispo E, Santander-Rengifo F, Ladera-Castañeda M, et al. Adhesive strength in dentin conditioned with 18% ethylenediaminetetraacetic acid versus 35% phosphoric acid: in vitro study with 1-year artificial aging. Polymers (Basel). 2022;14(20):4291. doi: 10.3390/polym14204291 EDN: XHDWJT
- Janfaza J, Valizadeh S, Tanbakuchi B. Comparative assessment of the shear bond strength of ceramic brackets bonded to the enamel surface with a self-adhesive system. Front Dent. 2024;21:18. doi: 10.18502/fid.v21i18.15551 EDN: IODVEY
- Ren Z, Wang R, Zhu M. Comparative evaluation of bonding performance between universal and self-etch adhesives: In vitro study. Heliyon. 2024;10(15):e35226. doi: 10.1016/j.heliyon.2024.e35226
- Ñaupari-Villasante R, Ocampo JB, Cardenas A, et al. Effect of the viscosity and application time of different phosphoric acids on the bond strength and nanoleakage of fiber posts to root dentin. Oper Dent. 2022;47(6):E253–E263. doi: 10.2341/21-118-L EDN: IQJESL
- Özduma ZC, Tuncer D. Effect of resin infiltration and various etching techniques on the bond strength of sound and demineralized enamel. European Annals of Dental Sciences. 2023; 50 (3): 126–132. doi: 10.52037/eads.2023.0029 EDN: XIKNSJ
- Gordeeva NO, Egorova AV, Magomedov TB, Venatovskaya NV. Methodology for reducing the risk of pathology of hard tissues of teeth with non-removable orthodontic treatment equipment. Saratov Journal of Medical Scientific Research. 2011;7(1):230–233. (In Russ.) EDN: OGBBWF
- Serbanoiu DC, Vartolomei AC, Ghiga DV, et al. A comparative analysis of enamel surface roughness following various interproximal reduction techniques: an examination using scanning electron microscopy and atomic force microscopy. Biomedicines. 2024;12(8):1629. doi: 10.3390/biomedicines12081629 EDN: KEFXUQ
- Watari F. In situ quantitative analysis of etching process of human teeth by atomic force microscopy. J Electron Microsc (Tokyo). 2005;54(3):299–308. doi: 10.1093/jmicro/dfi056 EDN: ISJANV
- Simmer JP, Hardy NC, Chinoy AF, et al. How fluoride protects dental enamel from demineralization. J Int Soc Prev Community Dent. 2020;10(2):134–141. doi: 10.4103/jispcd.JISPCD_406_19 EDN: DJNSWK
- Loyola-Rodriguez JP, Zavala-Alonso V, Reyes-Vela E, et al. Atomic force microscopy observation of the enamel roughness and depth profile after phosphoric acid etching. J Electron Microsc (Tokyo). 2010;59(2):119–125. doi: 10.1093/jmicro/dfp042
- Ostolopovskaya OV, Anokhina AV, Ruvinskaya GR. Modern adhesive systems in clinical dentistry. Prakticheskaja medicina. 2013;(4):15–20. EDN: RDYDFR
- Mirjanić Đ, Mirjanić V, Vojinović J. Testing the effect of aggressive beverage on the damage of enamel structure. Contemporary Materials VI-1. 2015; 6 (1). doi: 10.7251/COMEN1501055M
Supplementary files













