Dynamics of adhesive systems development in dental practice
- Authors: Bordina G.E.1, Lopina N.P.1, Andreev A.A.1, Nekrasov I.A.2
-
Affiliations:
- Tver State Medical University
- Peoples’ Friendship University of Russia
- Issue: Vol 26, No 1 (2022)
- Pages: 63-74
- Section: Reviews
- Submitted: 12.05.2022
- Accepted: 04.07.2022
- Published: 31.08.2022
- URL: https://rjdentistry.com/1728-2802/article/view/107520
- DOI: https://doi.org/10.17816/1728-2802-2022-26-1-63-74
- ID: 107520
Cite item
Abstract
BACKGROUND: Тhe article presents a review of adhesive systems in terms of their component chemical composition. Seven generations of adhesive systems have been studied. The first generation of adhesive systems emerged in the 1970s. The result of the action was the bond reaction of the adhesive with calcium enamel and dentin. Glycerophosphoric acid dimethacrylate was used. The use of methacrylates in adhesive systems was widespread because polymers with high biological indifference to biological objects are formed when they are polymerized in combination with acrylic resin. The second generation used a lubricated layer to obtain higher adhesion rates. Chloro-substituted phosphate esters of various monomers were used as active groups. The main compound mechanism remained the ionic binding of calcium dentine by chlorophosphate groups. The third generation used a lubricated layer to attach the composite to the dentin in the same way as the second generation. In the chemical composition, aluminosilicates, aluminitrates, hydroxyethylmethacrylate (HEMA), 4-methacryloxyethyltrimethyl anhydride (4-META), and other substances were most often used as active groups. The fourth generation is a multicomponent system that provides a three- and four-step application technique. These systems contain three to four components (conditioner, primer, and adhesive). The technique of their use includes three stages, namely, etching with 37% orthophosphoric acid, priming, and bonding. Adhesive systems of the fifth generation are two-component systems that provide a two-step technique of application. First, acid (etching) is applied to the tooth tissue, and second, the adhesive itself. Adhesive systems of the sixth and seventh generations are one-component self-etching since the adhesive contains acid. From a chemical point of view, these adhesive systems are a mixture of phosphoric esters and adhesive substances. Therefore, analyzing the adhesive composition of seven generations in such way, the mechanism of chemical interaction of adhesive components with hydroxyapatite and dentin has not significantly changed; however, the number of hydrophobic fragments has increased, which significantly increases dentin contact.
Full Text
АКТУАЛЬНОСТЬ
Первые адгезивные системы были запатентованы компанией Gebr. de Trey AG (Швейцария) в 1949 г. Основой системы являлись полифункциональные мономеры — диметакрилат глицерофосфорной кислоты, ди- и тримет- акрилаты глюконовой кислоты [1, 2]. Данные мономеры и их модификации широко применяются в составе современных адгезивов для композитов и стеклоиономерных цементов [3, 4].
Начало разработки данных методов было положено в 1955 г. М. Буонокоре. Он заметил, что адгезия пломбировочного материала к зубу значительно улучшается, если эмаль предварительно обработать фосфорной кислотой [5–7]. Он предложил использовать кислотное протравливание эмали зуба, что позволило существенно увеличить прочность сцепления поверхности со смолами, которые полимеризуются [8–11].
В 1959 г. Р. Боуэн запатентовал первый композиционный пломбировочный материал, в состав которого входили неорганический наполнитель и полимеризуемая смола [6]. В качестве полимеризуемой смолы Боуэн предложил мономер, содержащий в своей структуре фрагменты эпоксидной смолы и две метакрилатные группы — BisGMA. Данный мономер является универсальным связующим звеном большинства композитов и адгезивов, которые используются в стоматологии [12–16].
В 1970-х гг. в зарубежной литературе появилось первое исследование адгезионной прочности материала при сдвиге брекета [17, 18]. К настоящему времени проведено более тысячи исследований, которые определяют факторы, влияющие на адгезионную прочность [16, 18]: вид применяемых адгезивных систем и клея, материал применяемой брекет-системы, состав слюны и эмали [17–19]. На прочность сцепления адгезивной системы также влияют и другие факторы: тип дентина, толщина и состав смазанного слоя, возраст зуба, направление дентинных канальцев и эмалевых призм, присутствие цемента зуба в пришеечной области и т. д. [20–23].
Существуют определенные требования к современным адгезивным системам. Идеальная адгезивная система должна соответствовать следующим параметрам:
1) обладать механическими свойствами, соответствующими свойствам тканей зуба;
2) иметь простую методику применения в клинической практике;
3) обладать биосовместимостью с тканями зуба (эмалью и дентином);
4) не разрушаться (не растворяться) под воздействием ротовых жидкостей;
5) иметь достаточную устойчивость к жевательным нагрузкам [2–6].
В последние годы наиболее популярными стали такие адгезивные системы, которые предусматривают тотальное кондиционирование эмали и дентина [24, 25]. Эта техника отличается сохранением влажности дентина перед внесением адгезивной системы и необходимостью нанесения и смывания растворов или гелей ортофосфорной кислоты [26, 27]. Однако следует упомянуть, что на данный момент не существует объективных критериев определения влажности поверхности дентина [28–30]. Это не позволяет врачу быть уверенным в правильности выполнения технологических этапов бондинга [28]. Следовательно, при использовании систем для техники тотального травления сохраняется многоэтапность и сложность технологии, что приводит к гиперчувствительности и развитию осложнений, уменьшению прочности прикрепления к дентину, разгерметизации краевой щели [30–32].
Современные адгезивные системы по механизму воздействия на смазанный слой подразделяются на следующие группы:
1) адгезивы, растворяющие смазанный слой (адгезивы, не удаляющие смазанный слой, для стеклоиономеров и стеклоиономерных композитов);
2) адгезивы, удаляющие смазанный слой (адгезивы с техникой тотального протравливания);
3) адгезивы, модифицирующие смазанный слой (самопротравливающие адгезивные системы) [17, 18].
В настоящее время использование связующих (адгезивных) агентов считается обязательным условием при пломбировании композитным материалом, адгезивной фиксации всех видов непрямых конструкций, починках сколов композитных и керамических облицовок, для фиксации брекетов, виниров, различных украшений — именно за счет использования склеивающих веществ может достигаться адгезивное соединение [33, 34]. Невыполнение данного этапа или нарушение технологии применения адгезивной системы может привести к нарушению сцепления композита с тканями зуба, что проявляется возникновением микробной инвазии, краевой щели, радиального кариеса и даже повреждением пульпы [35–37].
Последние исследования доказали, что адгезивы при правильном использовании способны укреплять ослабленные эмаль и дентин, уменьшать краевую проницаемость и снижать чувствительность зубов [35].
Появление адгезивных технологий и развитие адгезивных систем внесли наиболее существенные изменения в пародонтальном шинировании. Адгезивные системы в стоматологии прошли несколько эволюционных стадий [17–19].
Первое поколение адгезивных систем возникло в 1970-е гг. Результатом действия являлась реакция бонда адгезива с кальцием эмали и дентина [38–40]. Использовался диметакрилат глицерофосфорной кислоты (рис. 1).
Рис. 1. Соединение, получаемое в результате адгезии димет- акрилата глицерофосфорной кислоты с зубными тканями
Fig. 1. The compound obtained as a result of adhesion of glycerophosphoric acid dimethacrylate with dental tissues
Молекула диметакрилата глицерофосфорной кислоты, являясь бифункциональной, в своем составе имеет гидрофильную (остаток фосфорной кислоты) и гидрофобную часть (метакрилатные группы). Гидрофильная часть связывает ионы кальция и способствует вторичному образованию дентина в зубных тканях (рис. 2).
Рис. 2. Образование ионной связи с ионами Ca2+
Fig. 2. Formation of an ionic bond with Ca2+ ions
Данная ионная связь быстро разрушается в присутствии жидкости. В результате происходит дебондинг и возникают микроподтекания.
Полимеры на основе акриловой и метакриловой кислот используют в стоматологии много лет. Они имеют хорошие механические, биологические (не имеют запаха, не являются ядовитыми) и оптические свойства [41, 42]. Наличие двойной связи дает возможность протекать реакции полимеризации. Реакция начинается с разложения инициатора реакции. Вещества с ковалентной неполярной связью, такие как пероксиды (R–O–O–R), служат для инициирования радикальных реакций [41]. Под воздействием света, тепла или катализатора происходит гомолитический разрыв связи с образованием свободных радикалов [39].
Широкое применение метакрилатов в адгезивных системах обусловлено тем, что при их полимеризации в комплексе с акриловой смолой образуются полимеры, обладающие высокой индифферентностью к биологическим объектам, т. е. они являются безвредными для организма человека (рис. 3) [40]. Более того, некоторые метакрилаты, например, глицидилметакрилат, дают химикам возможность добавлять эпоксидные группы в акриловые смолы и позволяют проводить в дальнейшем различные реакции полимеризации или отверждения [41]. Сила сцепления адгегивной системы с эмалью была достаточной, а вот сила сцепления с дентином падала из-за влаги, выделявшейся из дентинных канальцев. Данный адгезив невозможно было применять на коренных зубах, также после его использования возрастала чувствительность зубов [42].
Рис. 3. Механизмы реакции полимеризации
Fig. 3. Mechanisms of polymerization reaction
Второе поколение появилось в 1980-е гг. В нем задействовался смазанный слой для получения более высоких показателей адгезии [43].
Смазанный слой (smear layer) возникает при механической обработке (препарировании). Он представляет собой инфицированный слой, состоящий из осколков минеральных и органических тканей, смешанных с зубными и потовыми жидкостями [42]. Его толщина составляет 1–2 мм, он может проникать в дентинные канальцы, что является препятствием для адгезивной системы [43].
В качестве активных групп использовались хлорзамещенные фосфатные эфиры различных мономеров. Основным механизмом соединения было по-прежнему ионное связывание кальция дентина хлорфосфатными группами (рис. 4).
Рис. 4. Хлорзамещенные фосфаты
Fig. 4. Chloro-substituted phosphates
Данная ионная связь быстро разрушается в присутствии жидкости. В результате происходит дебондинг и возникают микроподтекания [42].
На наш взгляд, использование хлорзамещенных фосфатных эфиров могло бы привести к упрочнению ионной связи, так как гидроксильные группы являются трудноуходящими группами по сравнению с хлором.
Адгезивные системы 2-го поколения уже не применяются преимущественно из-за получения слабой, ненадежной связи и неудачных попыток соединения со смазанным слоем [43]. Недостатки предыдущей адгезивной системы исправить не удалось. Дентинная адгезия увеличилась примерно в 3 раза, но этого все равно было недостаточно. Адгезив все еще нельзя было применять на коренных зубах, появились микроподтекания, проблема чувствительности не исчезла. Механизм остался без изменения по сравнению с адгезивами 1-го поколения [42].
Третье поколение появилось в конце 1980-х гг. Это были двухкомпонентные адгезивные системы, состоявшие из праймера и адгезива. Для прикрепления композита к дентину, так же как и у 2-го поколения, применялся смазанный слой [44]. В химическом составе чаще всего в качестве активных групп использовались алюмосиликаты, алюмонитраты, гидроксиэтилметакрилат (НЕМА) (рис. 5), 4-метакрилоксиэтилтриметиловый ангидрид (4-МЕТА) (рис. 6) и другие вещества.
Рис. 5. Активные группы адгезивных систем третьего поколения. а — гидроксиэтилметакрилат (НЕМА); b — соединение, получаемое в результате адгезии HEMA с зубными тканями
Fig. 5. Active groups of adhesive systems of the third generation. а—hydroxyethylmethacrylate (HEMA); b — a compound obtained as a result of adhesion of HEMA with dental tissues
Рис. 6. Реакция получения 4-МЕТА из гидроксиэтилметакрилата и тримеллитового ангидрида
Fig. 6. Reaction of obtaining 4-META from hydroxyethylmethacrylate and trimellite anhydride
Предварительное протравливание дентина осуществлялось 30–37% ортофосфорной (позже стали использовать 37% гель фосфорной кислоты) или малеиновой кислотой. У данного поколения значительно возросла адгезия к дентину, послеоперационная чувствительность снизилась, но не исчезла. Впервые была обеспечена адгезия не только к зубу, но и к металлам и керамике [43].
Адгезия между керамикой и композитом осуществляется благодаря молекулярной сцепке, которую могут обеспечить материалы, в состав которых входят молекулы γ-метакрилоксипропилтриметоксисилана (органофункциональные силаны) [44]. Силаны стандартно применяются как активаторы адгезии между неорганическими поверхностями и органическими полимерами. Применение силанов в адгезивных системах обусловлено тем, что силан может действовать в качестве сшивающего агента для уретанов, эпоксидов и других полимеров [43].
На сегодняшний день адгезивные системы 1-го, 2-го и 3-го поколения не используются. В стоматологической практике применяются адгезивные системы следующих поколений.
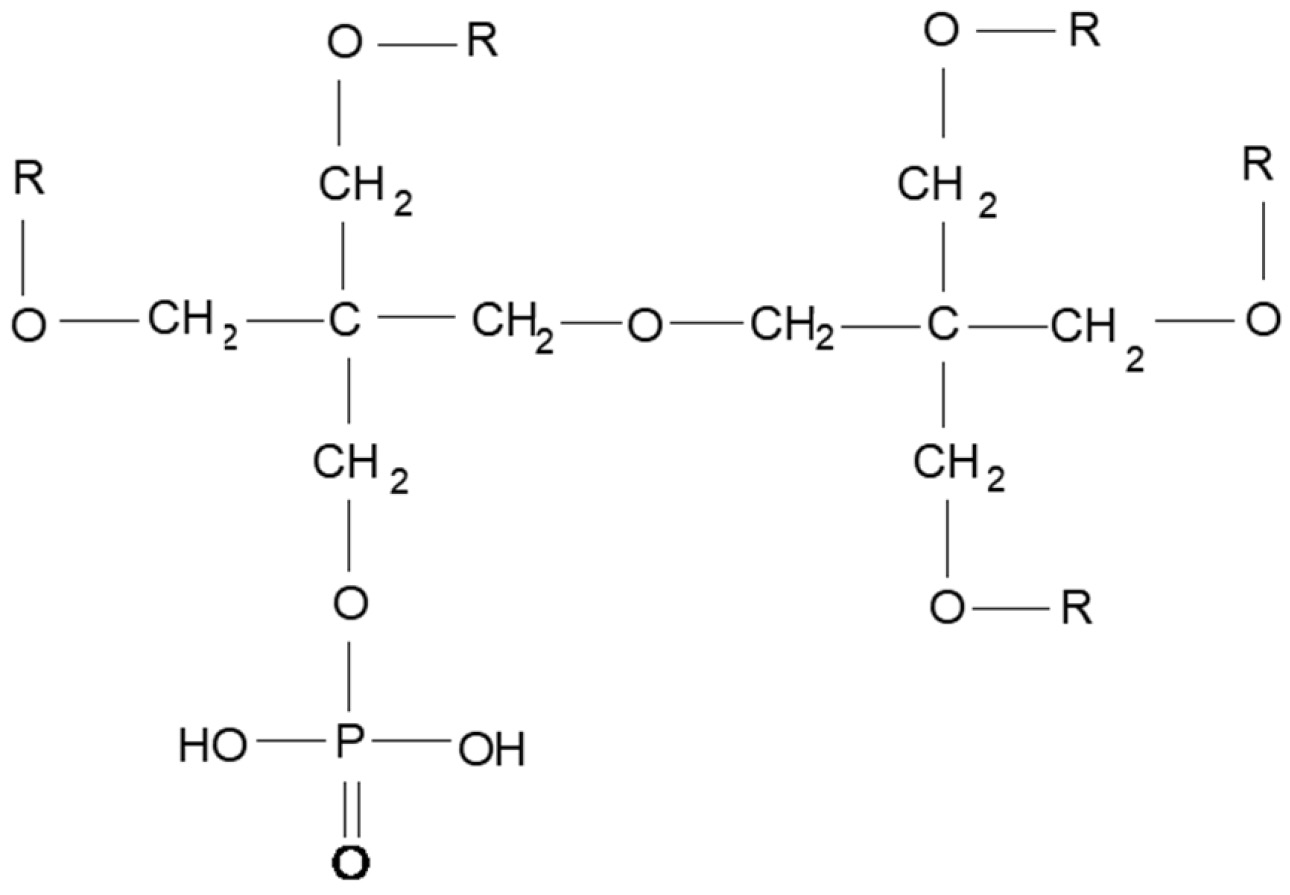
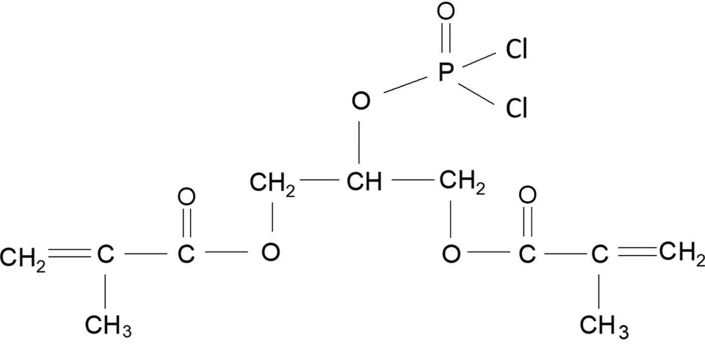
Четвертое поколение адгезивных систем появилось в начале 1990-х гг. и стало прорывом в стоматологии. Показатель адгезии достиг современных значений, а послеоперационная чувствительность снизилась еще больше. Четвертое поколение — многокомпонентные системы, предусматривающие 3–4-шаговую технику нанесения [45]. Эти системы содержат 3–4 компонента (кондиционер, праймер, адгезив). Техника их использования включает 3 этапа: протравливание 37% ортофосфорной кислотой, прайминг и бондинг [46]. Они чаще всего содержат PENTA — дипентаэритролапентакрилата эфир фосфорной кислоты или дипентаэритролпентакрилата монофосфат (рис. 7).
Рис. 7. Дипентаэритролапентакрилата эфир фосфорной кислоты (PENTA)
Fig. 7. Dipentaerythrolapentacrylate phosphoric acid ester (PENTA)
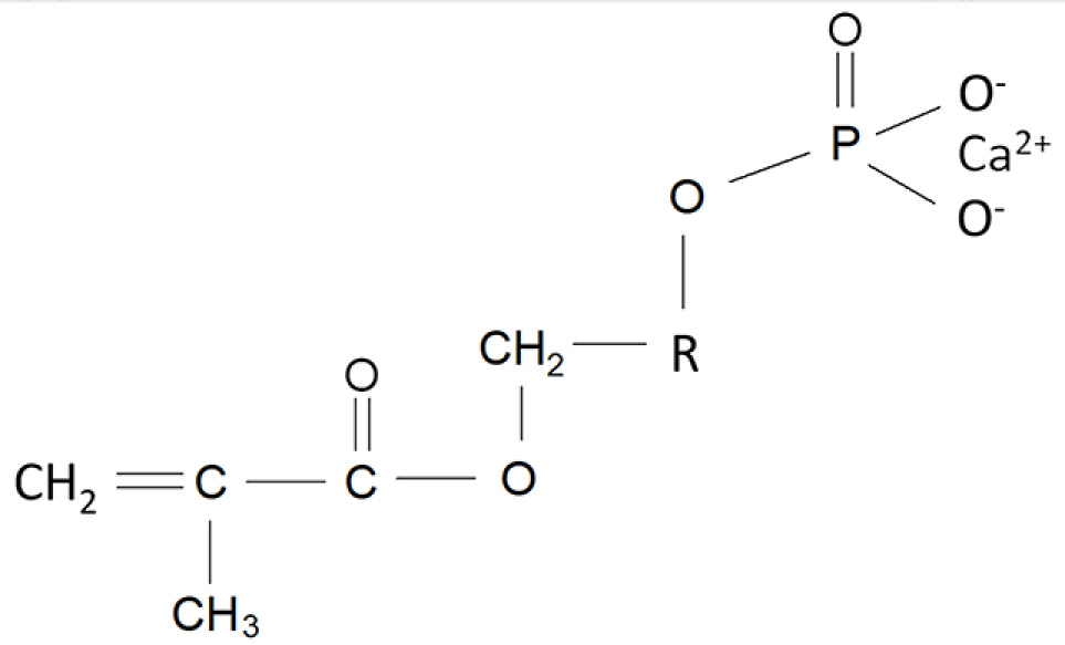
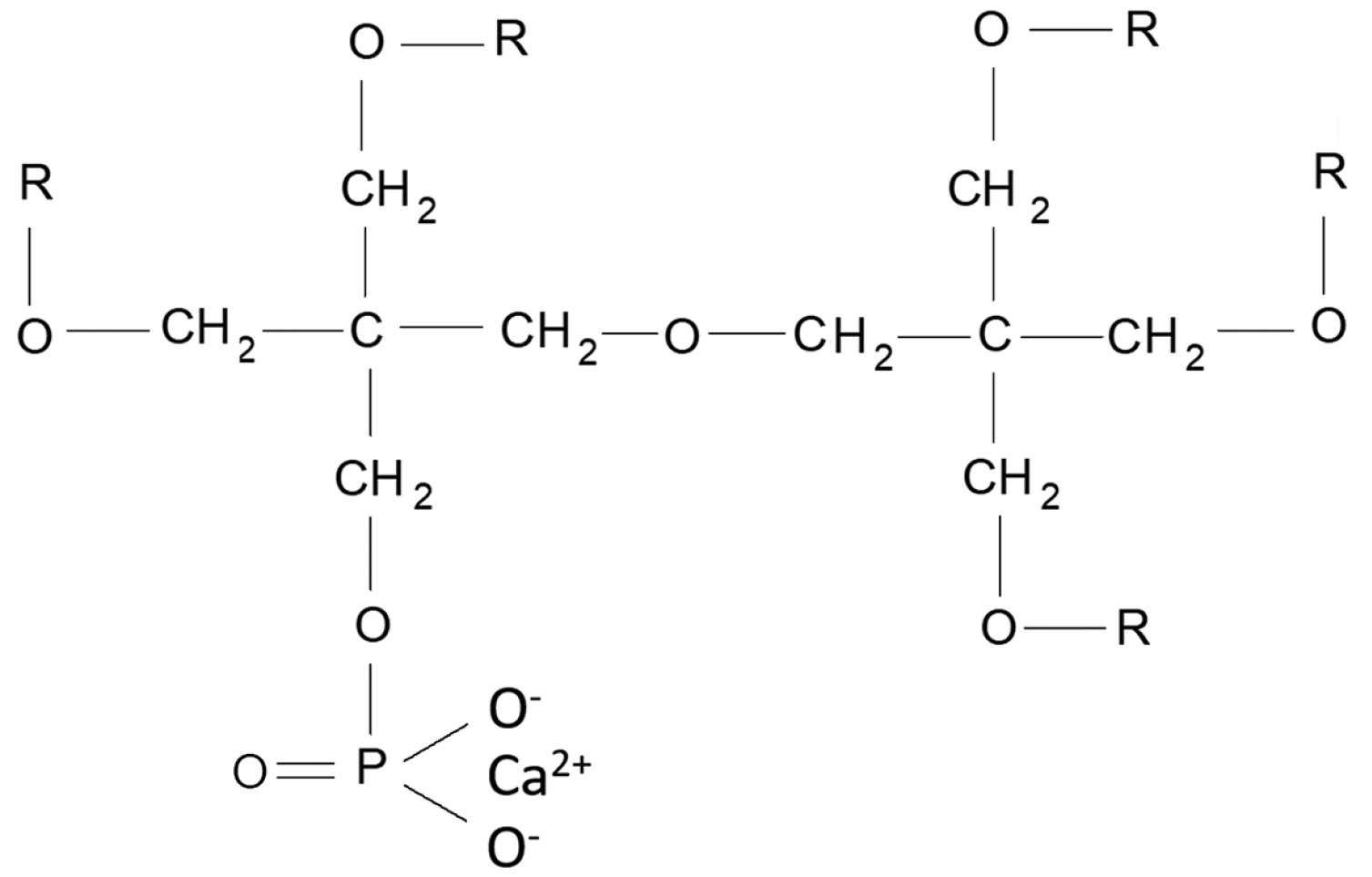
Данное вещество содержит в своей молекуле активные гидрофобные и гидрофильные группы, что позволяет адгезиву активно соединяться как с ионами кальция гидроксиапатитов эмали и дентина, так и с активными группами коллагена органической части основного вещества дентина за счет гидрофобных взаимодействий (рис. 8).
Рис. 8. Вероятный механизм соединения PENTA с гидроксиапатитом зуба (R — гидрофобные фрагменты)
Fig. 8. Probable mechanism of connection of PENTA with hydroxyapatite of the tooth (R — hydrophobic fragments)
Такое двойное химическое связывание наряду с микромеханическим соединением в дентинных канальцах позволило достичь очень значительной силы прикрепления данных адгезивных систем, содержащих PENTA, к дентину. Кроме PENTA адгезивы 4-го поколения содержат такие диметакрилаты, как триэтиленгликолдиметакрилаты (TGDMA), уретандиметакрилаты (UDMA) и некоторые другие с меньшим молекулярным весом (например, гидроксимэтилметакрилат — НЕМА) [45, 46]. Для лучшего попадания в дентинные канальцы адгезивных систем, а точнее, их праймеров, в их состав были введены органические растворители — кетоны, спирты [46].
Пятое поколение адгезивных систем появилось вскоре после 4-го и имело такой же химический состав. Послеоперационная чувствительность зубов также невысока [47].
Адгезивные системы 5-го поколения — двухкомпонентные системы, предусматривающие двухшаговую технику применения: сначала на ткани зуба наносится кислота (протравка), а далее сам адгезив [48]. Эти адгезивные системы дополнительно подразделяются на две группы: адгезивные системы 5а и 5b поколений. Первые полностью удаляют смазанный слой, в их состав входит 35–37% фосфорная кислота. Вторые представляют собой самопротравливающие несмываемые кондиционеры, наиболее распространены на основе малеиновой кислоты [47, 48]. Использование малеиновой кислоты в самопротравливающих кондиционерах обусловлено особенностями строения дентина (его восприимчивостью к органическим и неорганическим кислотам) и его непосредственной связью с пульпой зуба, а также тем, что из нее производят эффективные полимеры, которые способствуют улучшению адгезии стеклоиономерных цементов и адгезивных систем [48].
Адгезивные системы шестого и седьмого поколений — однокомпонентные самопротравливающие, так как в состав адгезива входит кислота (все в одном флаконе). С химической точки зрения эти адгезивные системы являются смесью фосфорных эфиров и адгезивных веществ. Предусматривают одношаговую технику нанесения [48, 49]. Самопротравливающие адгезивные системы не так чувствительны к наличию влаги, поэтому они оказываются особенно полезными при реставрации зубов, не поддающихся полной изоляции, или в работе с непростыми пациентами [50]. Однако в химический состав самопротравливающих адгезивных систем в дополнение к мономерам, как правило, входит вода. Это значит, что крайне важным становится высушивание адгезива уже после нанесения [49, 50].
При проведении анализа 7 поколений адгезивных систем было отмечено использование в качестве протравливающего компонента как неорганических (ортофосфорная), так и органических кислот (малеиновая).
Травящий раствор для эмали представлял собой ранее 30–37% водный раствор ортофосфорной кислоты, а позднее гель 37% фосфорной кислоты. Фосфорная кислота, реагируя с гидроксиапатитом, приводит к образованию дигидрофосфата кальция, входящего в состав мицелл слюны:
Ca5(OH)(PO4)3 + H3PO4 = 5 Ca(H2PO4)2 + H2O.
Малеиновая кислота может вступать в химическое взаимодействие за счeт двойной связи в молекуле, а также за счeт двух карбоксильных групп (рис. 9).
Рис. 9. Связь гидроксиапатита с малеиновой кислотой
Fig. 9. The bond of hydroxyapatite with maleic acid
ЗАКЛЮЧЕНИЕ
Таким образом, анализируя с химической точки зрения состав адгезивных систем 7 поколений, можно говорить о том, что механизм химического взаимодействия компонентов адгезивов с гидроксиапатитом и дентином существенно не изменился: благодаря увеличению гидрофобных фрагментов, увеличивается контакт с дентином.
ДОПОЛНИТЕЛЬНАЯ ИНФОРМАЦИЯ / ADDITIONAL INFO
Источник финансирования. Авторы заявляют об отсутствии внешнего финансирования при проведении исследования.
Funding source. This study was not supported by any external sources of funding.
Конфликт интересов. Авторы декларируют отсутствие явных и потенциальных конфликтов интересов, связанных с публикацией настоящей статьи.
Competing interests. The authors declare that they have no competing interests.
Вклад авторов. Все авторы внесли существенный вклад в разработку концепции в равных долях.
Authors’ contribution. All authors have made a significant contribution to the development of the concept in equal parts.
About the authors
Galina E. Bordina
Tver State Medical University
Email: gbordina@yandex.ru
ORCID iD: 0000-0001-6375-7981
MD, Cand. Sci. (Biol.), Associate Professor
Russian Federation, TverNadezhda P. Lopina
Tver State Medical University
Author for correspondence.
Email: nadezhda_lopina@mail.ru
ORCID iD: 0000-0002-7213-1531
MD, Cand. Sci. (Chem.), Professor
Russian Federation, TverAlexey A. Andreev
Tver State Medical University
Email: aandreev01@yandex.ru
ORCID iD: 0000-0002-1012-9356
Student
Russian Federation, TverIlya A. Nekrasov
Peoples’ Friendship University of Russia
Email: ilya.nekrasov.01@bk.ru
ORCID iD: 0000-0002-7240-1319
Student
Russian Federation, MoscowReferences
- Mel’kumyan TV, Kakhkharova DZh, Kamilov NKh, et al. Sravnitel’nyi analiz samoprotravlivayushchikh adgezivnykh sistem i sistem total’nogo travleniya in vitro. Stomatologiya. 2017;(2):31–33. (In Russ).
- Sarikaya R, Song L, Yuca E, et al. Bioinspired multifunctional adhesive system for next generation bio-additively designed dental restorations. J Mech Behav Biomed Mater. 2021;113:104135. doi: 10.1016/j.jmbbm.2020.104135
- Abramova MYa, Fironova MA. Analiz ispol’zovaniya sovremennykh adgezivnykh sistem, primenyaemykh dlya fiksatsii nes”emnoi apparatury (breket-sistemy). In: VII Mezhdunarodnaya nauchno-prakticheskaya konferentsiya Innovatsii v otraslyakh narodnogo khozyaistva kak faktor resheniya sotsial’no-ekonomicheskikh problem sovremennosti. Moscow; 2017. P:300–305. (In Russ).
- Aslanyan MA, Eremin OV, Trufanova YY, et al. Use of adhesive systems in dentistry: past and present. Saratov journal of medical scientific research. 2018;14(2):234–239. (In Russ).
- Kalyoncu IO, Eren-Giray F, Huroglu N, et al. Microleakage of Different Adhesive Systems in Primary Molars Prepared by Er: YAG Laser or bur. Niger J Clin Pract. 2018;21(2):242–247. doi: 10.4103/njcp.njcp_299_16
- Romanenko IG, Chepurova NI, Zueva AS. Selection of adhesive systems in treatment of tooth root caries (literature review). Bulletin of the Medical Institute “REAVIZ” (REHABILITATION, DOCTOR AND HEALTH). 2021;11(2):50–61. (In Russ). doi: 10.20340/vmi-rvz.2021.2.CLIN.2
- Nikaido T, Takagaki T, Sato T, et al. Fluoride-Releasing Self-Etch Adhesives Create Thick ABRZ at the Interface. Biomed Res Int. 2021:9731280. doi: 10.1155/2021/9731280
- Sangonova ND, Frolova KE, Frolova VV. Adgezivnye sistemy i ikh rol’ v sovremennoi stomatologii. Tendentsii razvitiya nauki i obrazovaniya. 2021;(76–1):15–16. (In Russ). doi: 10.18411/lj-08-2021-03
- Iyashvili LV, Vinnichenko YA, Vinnichenko AV. Comparative assessment of the human blood plasma impact on the properties of various adhesive systems. Stomatologiya. 2020;99(2):17. (In Russ). doi: 10.17116/stomat20209902117
- Bolgul BS, Ayna B, Simsek I, et al. Leakage testing for different adhesive systems and composites to permanent teeth. Niger J Clin Pract. 2017;20(7):787–791. doi: 10.4103/1119-3077.171417
- Golovenkina AV, Yartseva AV, Polyakova EV, Ignatova TS. Sravnitel’naya kharakteristika adgezivnykh sistem poslednego pokoleniya, primenyaemye v sovremennoi klinicheskoi stomatologii, pri lechenii srednego kariesa. Evraziiskoe Nauchnoe Ob”edinenie. 2017;1(5):53–55. (In Russ).
- Mitronin AV, Kuvaeva MN, Vovk SN. Laboratory estimation of the hybrid zone structure of the adhesive system based on the ormoker at filling class I cavity. Endodontics Today. 2019;17(3):21–24. (In Russ). doi: 10.36377/1683–2981-2019-17-3-21-24
- Jun SK, Yang SA, Kim YJ, et al. Multi-functional nano-adhesive releasing therapeutic ions for MMP-deactivation and remineralization. Sci Rep. 2018;8(1):5663. doi: 10.1038/s41598-018-23939-6
- Daironas E, Daironas S, Burov A, et al. Adhesive Systems in the Practice of a Dentist Doctor. Actual problems in dentistry. 2020; 16(1):178–181. (In Russ). doi: 10.18481/2077-7566-20-16-1-178-181
- Vaheed NA, Gupta M, David SA, et al. In vitro Analysis of Shear Bond Strength and Adhesive Remnant Index of Stainless Steel Brackets with Different Adhesive Systems to Enamel. J Contemp Dent Pract. 2018;19(9):1047–1051.
- Tsujimoto A, Barkmeier WW, Takamizawa T, et al. Simulated localized wear of resin luting cements for universal adhesive systems with different curing mode. J Oral Sci. 2018;60(1):29–36. doi: 10.2334/josnusd.16-0815
- Kharaeva ZF, Blieva LZ, Sheregov AK, et al. Comparative analysis of adhesive properties of ceramic and metal bracket systems. Klinicheskaya stomatologiya. 2019(2):42–44. (In Russ). doi: 10.37988/1811-153x_2019_2_42
- Namura Y, Takamizawa T, Uchida Y, et al. Effects of composition on the hardness of orthodontic adhesives. J Oral Sci. 2020;62(1):48–51. doi: 10.2334/josnusd.19-0035
- Postnikov MA, Shcherbakova EA, Shcherbakov MV, Simanovskaya OE. The choice of an adhesive system in the practice of a dentist. Aspirantskiy Vestnik Povolzhiya. 2020;20(5-6):81–88. (In Russ). doi: 10.17816/2072-2354.2020.20.3.81-88
- Mamedov AA, Loschenov VB, Morozova NS, et al. Study of penetration ability of adhesive systems on temporary teeth by confocal microscopy. Biomedical Photonics. 2020;9(2):4–9. (In Russ). doi: 10.24931/2413–9432–2020–9–2–4–9.
- Zhou W, Liu S, Zhou X, et al. Modifying Adhesive Materials to Improve the Longevity of Resinous Restorations. Int J Mol Sci. 2019;20(3). doi: 10.3390/ijms20030723
- Gundogdu M, Aladag LI. Effect of adhesive resin cements on bond strength of ceramic core materials to dentin. Niger J Clin Pract. 2018;21(3):367–374. doi: 10.4103/njcp.njcp_10_17
- Borges AB, Abu Hasna A, Matuda AGN, et al. Adhesive systems effect over bond strength of resin-infiltrated and de/remineralized enamel. F1000Res. 2019;8:1743. doi: 10.12688/f1000research.20523.1
- Dressano D, Salvador MV, Oliveira MT, et al. Chemistry of novel and contemporary resin-based dental adhesives. J Mech Behav Biomed Mater. 2020;110:103875. doi: 10.1016/j.jmbbm.2020.103875
- Bertolo MVL, Guarda MB, Fronza BM, et al. Electric current effects on bond strength, nanoleakage, degree of conversion and dentinal infiltration of adhesive systems. J Mech Behav Biomed Mater. 2021;119:104529. doi: 10.1016/j.jmbbm.2021.104529
- Carneiro KK, Araujo TP, Carvalho EM, et al. Bioactivity and properties of an adhesive system functionalized with an experimental niobium-based glass. J Mech Behav Biomed Mater. 2018;78:188–195. doi: 10.1016/j.jmbbm.2017.11.016
- Putzeys E, Duca RC, Coppens L, et al. In-vitro transdentinal diffusion of monomers from adhesives. J Dent. 2018;75:91–97. doi: 10.1016/j.jdent.2018.05.023
- Soto-Montero J, Nima G, Dias CTS, et al. Influence of beam homogenization on bond strength of adhesives to dentin. Dent Mater. 2021;37(2):e47–e58. doi: 10.1016/j.dental.2020.10.003
- Cevval Ozkocak BB, Aytac Bal F. Effect of diode laser-assisted bleaching on the bond strength of different adhesive systems to enamel: Interfacial SEM analysis. Microsc Res Tech. 2021;84(7):1542–1552. doi: 10.1002/jemt.23711
- Mochalov I, Keian D, Pasichnyk M, Kravcov R. The Strength of Adhesion to Hard Tissues of Non-Vital Teeth of Dental Photocomposite Filling (Restorative) Materials in Combination with Various Adhesive Systems. Georgian Med News. 2021;(315):61–65. (In Russ).
- Caldas IP, Alves GG, Barbosa IB, et al. In vitro cytotoxicity of dental adhesives: A systematic review. Dent Mater. 2019;35(2):195–205. doi: 10.1016/j.dental.2018.11.028
- Gill SK, Roohpour N, An Y, et al. Hydrophobic and hydrophilic effects on water structuring and adhesion in denture adhesives. J Biomed Mater Res A. 2018;106(5):1355–1362. doi: 10.1002/jbm.a.36341
- Han B, Xia W, Liu K, et al. Janus Nanoparticles for Improved Dentin Bonding. ACS Appl Mater Interfaces. 2018;10(10):8519–8526. doi: 10.1021/acsami.7b19652
- Gill SK, Roohpour N, Topham PD, Tighe BJ. Tunable denture adhesives using biomimetic principles for enhanced tissue adhesion in moist environments. Acta Biomater. 2017;63:326–335. doi: 10.1016/j.actbio.2017.09.004
- Giacomini MC, Scaffa PMC, Goncalves RS, et al. Profile of a 10-MDP-based universal adhesive system associated with chlorhexidine: Dentin bond strength and in situ zymography performance. J Mech Behav Biomed Mater. 2020;110:103925. doi: 10.1016/j.jmbbm.2020.103925
- Cavalheiro A, Cruz J, Sousa B, et al. Dentin adhesives application deviations: Effects on permeability and nanoleakage. Dent Mater J. 2021;40(5):1160–1168. doi: 10.4012/dmj.2020-404
- Rodriguez-Chavez JA, Arenas-Alatorre JA, Flores-Ruiz HM, et al. Evaluation of enamel loss by scanning electron microscopy after debonding brackets place with four different adhesives. Microsc Res Tech. 2021;84(5):912–920. doi: 10.1002/jemt.23652
- Nima G, Cavalli V, Bacelar-Sa R, et al. Effects of sodium hypochlorite as dentin deproteinizing agent and aging media on bond strength of two conventional adhesives. Microsc Res Tech. 2020;83(2):186–195. doi: 10.1002/jemt.23401
- Fu J, Saikaew P, Kawano S, et al. Effect of air-blowing duration on the bond strength of current one-step adhesives to dentin. Dent Mater. 2017;33(8):895–903. doi: 10.1016/j.dental.2017.03.015
- Takamizawa T, Imai A, Hirokane E, et al. SEM observation of novel characteristic of the dentin bond interfaces of universal adhesives. Dent Mater. 2019;35(12):1791–1804. doi: 10.1016/j.dental.2019.10.006
- Cetin AR, Dinc H. Effects of artificial aging on the bond strengths of universal dental adhesives. Niger J Clin Pract. 2020;23(8): 1148–1154. doi: 10.4103/njcp.njcp_435_19
- Nayif MM, Otsuki M, Tagami J. Bonding performance of self-etch adhesives to enamel bleached with different peroxide concentrations. Braz Dent J. 2021;32(5):96–104. doi: 10.1590/0103-6440202104046
- De Assis C, Lemos C, Gomes J, et al. Clinical Efficiency of Self-etching One-Step and Two-Step Adhesives in NCCL: A Systematic Review and Meta-analysis. Oper Dent. 2020;45(6):598–607. doi: 10.2341/19-185-L
- Torres-Mendez F, Martinez-Castanon GA, Torres-Gallegos I, et al. Effects of silver nanoparticles on the bonding of three adhesive systems to fluorotic enamel. Dent Mater J. 2017;36(3):266–274. doi: 10.4012/dmj.2015-299
- Zecin-Deren A, Sokolowski J, Szczesio-Wlodarczyk A, et al. Multi-Layer Application of Self-Etch and Universal Adhesives and the Effect on Dentin Bond Strength. Molecules. 2019;24(2). doi: 10.3390/molecules24020345
- Donmez N, Gungor AS, Karabulut B, Siso SH. Comparison of the micro-tensile bond strengths of four different universal adhesives to caries-affected dentin after ER:YAG laser irradiation. Dent Mater J. 2019;38(2):218–225. doi: 10.4012/dmj.2017-428
- Carvalho RF, Cardenas A, Carvalho CN, et al. Effect of the Photo-initiator System Contained in Universal Adhesives on Radicular Dentin Bonding. Oper Dent. 2020;45(5):547–555. doi: 10.2341/19-146-L
- Safronova EL, Umarov YY, Guseinova LKh, et al. Sravnitel’naya otsenka vremeni raboty s adgezivnymi sistemami 5-go i 7-go pokoleniya. In: Stomatologiya – nauka i praktika, perspektivy razvitiya. Materialy Yubileinoi nauchno-prakticheskoi konferentsii, posvyashchennoi 55-letiyu stomatologicheskogo fakul’teta VolgGMU. Volgograd; 2017. P:401–404. (In Russ).
- Sedoikin AG, Kisel’nikova LP, Drobot’ko LN. Sila stsepleniya sovremennykh adgezivnykh sistem 6-7 pokoleniya s emal’yu i dentinom vremennykh zubov in vitro. In: Materialy XXIV Mezhdunarodnogo yubileinogo simpoziuma “Innovatsionnye tekhnologii v stomatologii”, posvyashchennogo 60-letiyu stomatologicheskogo fakul’teta Omskogo gosudarstvennogo meditsinskogo universiteta. Omsk; 2017. P:425–428. (In Russ).
- Mitronin AV, Il’ina MI, Galieva DT, Mitronin YA. Estimation of the penetration depth of an adhesive system vth generation in dentinal tubules depending on the concentration of orthophosphoric acid in gel for total etching relating to adhesive system VII generation. Cathedra — Kafedra. Dental education. 2019;(70):18–21. (In Russ).
Supplementary files













