Comparative characteristics of the chemical structure of barrier membranes: a review
- Authors: Bordina G.E.1, Lopina N.P.1, Andreev A.A.1, Nekrasov I.A.1, Osokin V.A.1
-
Affiliations:
- Tver State Medical University
- Issue: Vol 29, No 5 (2025)
- Pages: 388-395
- Section: Reviews
- Submitted: 01.07.2025
- Accepted: 01.09.2025
- Published: 28.10.2025
- URL: https://rjdentistry.com/1728-2802/article/view/686536
- DOI: https://doi.org/10.17816/dent686536
- EDN: https://elibrary.ru/ZUOWPM
- ID: 686536
Cite item
Abstract
The increasing prevalence of dental implant placement and guided bone regeneration procedures in periodontology worldwide has heightened the clinical priority of optimizing the techniques for restoring the volume of the alveolar. The primary goal of these interventions is to reconstruct adequate bone volume required for establishing a stable osseous foundation suitable for both natural teeth and dental implants.
The work aimed to analyze published data on the use of barrier membranes in implantology and guided tissue regeneration of the periodontium, with a particular focus on their chemical composition, and to identify their key advantages and limitations.
A total of 245 publications were retrieved from the PubMed/MEDLINE, Google Scholar, and eLIBRARY.RU databases. Following the selection process, 30 articles were included in the review.
In recent years, the primary objective of periodontal guided tissue regeneration has been the development of novel barrier materials that demonstrate optimal biocompatibility while combining features of both resorbable and nonresorbable membranes. Polylactide and polyglycolide have been identified as promising materials for the fabrication of such membranes.
Full Text
ВВЕДЕНИЕ
Направленную костную регенерацию тканей пародонта в настоящее время активно применяют для возмещения утраченного объёма костной ткани как при лечении заболеваний пародонта, связанных со снижением объёма кости, так и при создании оптимальных условий для дентальной имплантации.
В настоящее время ввиду высокой частоты проведения дентальной имплантации и направленной костной регенерации тканей пародонта во всём мире особо актуальным становится совершенствование методик восстановления первоначального объёма альвеолярной костной ткани. Для достижения этой цели используют различные методы хирургических вмешательств, результатом которых является формирование костного объёма, необходимого для создания полноценного костного ложа как для зуба, так и для имплантата [1–3, 5].
Цель обзора — проанализировать литературные данные об использовании барьерных мембран в дентальной имплантологии и направленной тканевой регенерации пародонта, а также подчеркнуть их основные недостатки и преимущества и предоставить рекомендации для практической стоматологии.
МЕТОДОЛОГИЯ ПОИСКА ИСТОЧНИКОВ
Отбор статей проводился в соответствии с рекомендациями PRISMA.
В результате поиска было извлечено 245 публикаций из баз данных PubMed/MEDLINE, Google Scholar и eLIBRARY.RU. Поисковые запросы включали следующие ключевые слова и их сочетания: «барьерные мембраны», «дентальная имплантация», «направленная тканевая регенерация», «остеоинтеграция». Временной интервал поиска — с января 2020 по июнь 2025 года. Независимо друг от друга все авторы проводили скрининг названий и аннотаций выявленных статей, при обнаружении релевантных исследований извлекали полный текст соответствующей публикации. Дубликаты и неполнотекстовые версии статей были исключены. Полнотекстовые версии статей оценивали на предмет соответствия следующим критериям включения:
- работа опубликована на английском или русском языке;
- работа опубликована в рецензируемом научном издании;
- работа представляет собой обзор литературы, клиническое исследование или описание клинического случая;
- работа содержит описание применения системы барьерных мембран в направленной тканевой регенерации;
- работа опубликована за последние 5 лет.
После отбора в обзор было включено 30 статей.
МАТЕРИАЛЫ ДЛЯ ИЗГОТОВЛЕНИЯ ДЕНТАЛЬНЫХ ИМПЛАНТАТОВ
Биоинертным материалам присущи остеокондуктивные свойства, достигаемые за счёт того, что их поверхность может обеспечивать физико-химическую связь с костной тканью. Однако при этом поверхность данной группы материалов за счёт формирования на ней оксидной плёнки из оксидов титана и циркония (TiO2, ZrO2) практически не включается в метаболизм костной ткани и не подвергается биодеградации [1–3].
Химическая связь в оксидах титана и циркония ионная, т. е. происходит предельное смещение электронной плотности к атому кислорода, вследствие чего последний приобретает частично отрицательный заряд, а атом металла — частично положительный. Образование зарядов обусловливает адсорбцию белков, состоящих из полярных аминокислот (таких как серин, цистеин, тирозин и т. д.), что способствует запуску контактного остеогенеза [4], в результате которого происходит остеоинтеграция дентального имплантата [1–3, 5].
Для изготовления дентальных имплантатов в современном мире применяют в основном сплавы титана за счёт биосовместимости, обусловленной образованием на его поверхности антикоррозионной плёнки диоксида титана. На этой плёнке могут адсорбироваться плазменные белки, ионы Са2+ и Р5+ [3–6]. Более того, изделия из технически чистого титана могут подвергаться гамма-стерилизации без риска появления остаточной радиоактивности.
В настоящее время при изготовлении дентальных имплантатов, помимо титановых сплавов, активно применяют материалы на основе циркония, для которого характерна более высокая прочность, но и более высокая стоимость [4–6]. Следует также отметить, что, помимо циркония, в последние годы некоторые зарубежные фирмы отдают предпочтение изготовлению дентальных имплантатов из сплавов тантала, который отличается высоким уровнем биосовместимости.
В процессе стоматологического лечения при имплантации может возникать нехватка костной ткани. Чтобы увеличить её объём в нужном месте, прибегают к использованию барьерных мембран. В большинстве случаев они представляют собой тонкую эластичную плёнку. Иногда барьерные мембраны имеют матерчатый вид. Как правило, такие мембраны фиксируют к костной ткани с помощью небольших титановых штифтов [5, 6].
ОСНОВНЫЕ ТИПЫ БАРЬЕРНЫХ МЕМБРАН
Нерезорбируемые (нерассасывающиеся) мембраны выполняют барьерную и каркасную функции для предотвращения воздействия тканей организма на место проведения направленной тканевой регенерации. К ним относят политетрафторэтиленовые мембраны и титановую сетку (фольгу).
Нерезорбируемые мембраны, содержащие соединения титана, имеют оптимальные механические свойства (в частности, прочность, эластичность и стабильность) для стабилизации костной ткани, в области которой проводят направленную тканевую регенерацию. Однако нарушение условий фиксации и адаптации титановой сетки может приводить к механическим раздражениям слизистой оболочки за счёт высокой прочности этой сетки. Более того, острые края титановой сетки могут травмировать костную ткань [7, 8].
Политетрафторэтиленовые мембраны (рис. 1) по структуре делятся на пористые (экспандированные) и плотные. Введение фторидов в химическую структуру мембраны улучшает её барьерные свойства. Это связано с тем, что при присоединении к кальцию, содержащемуся в костной ткани и в твёрдых тканях зубов, образуется фторид кальция, который не растворяется в воде, а следовательно, в жидкой среде полости рта (эта среда в норме имеет в среднем нейтральный водородный показатель, pH = 6,8–7,4). Политетрафторэтиленовые мембраны нашли широкое применение в абдоминальной, сердечно-сосудистой хирургии, а также в нейрохирургии.
Рис. 1. Структурная формула поли-1,1,2,2-тетрафторэтилена (C2F4)n.
Политетрафторэтиленовые мембраны показали высокую эффективность при проведении направленной тканевой регенерации. Экспандированная мембрана содержит большое количество пор, за счёт которых увеличивается площадь поверхности её соприкосновения с окружающими тканями и благодаря которым снижается миграция эпителиальных клеток. Всё это способствует ускорению процессов тканевой регенерации. В настоящее время экспандированные мембраны уже не производят [9–11].
К преимуществам нерезорбируемых мембран относится то, что они осуществляют барьерную функцию, не подвергаются деформации и предотвращают уменьшение объёма пространства под мембраной в течение заданного периода времени, обеспечивая успешную регенерацию кости [9]. Основным недостатком является необходимость проведения повторного хирургического вмешательства для их удаления.
Резорбируемые (рассасывающиеся) мембраны относятся к природным или синтетическим полимерам. Из рассасывающихся мембран в направленной тканевой регенерации наиболее часто используют коллаген и алифатические полиэфиры, в частности полигликолид и полилактид.
Основное преимущество резорбируемых мембран заключается в том, что они подвержены биодеградации после фиксации к тканям пародонта. Ввиду этого отсутствует необходимость повторного хирургического вмешательства для их извлечения.
Коллаген активно используют при изготовлении резорбируемых мембран для направленной тканевой регенерации за счёт его высокого уровня биосовместимости. В настоящее время коллаген широко применяют в тканевой биоинженерии. Всего существует 28 типов коллагена, но 95% всего коллагена в организме человека приходится на 4 основных типа:
- коллаген I типа составляет 90% коллагена всего организма и находится преимущественно в коже, сухожилиях, связках, костях, роговице и соединительной ткани пародонта;
- коллаген II типа локализуется в хрящах, межпозвоночных дисках и стекловидном теле;
- коллаген III типа чаще всего находится в сердечно-сосудистой системе и грануляционной ткани;
- коллаген IV типа локализуется в базальной мембране.
В качестве материала для создания натуральных полимерных мембран чаще всего применяют коллагены I и III типов, полученные из свиного и бычьего коллагена. Для них характерен высокий уровень пористости, что обусловливает избирательную миграцию клеток и прохождение химических веществ, биомолекул и вирусов [12, 13].
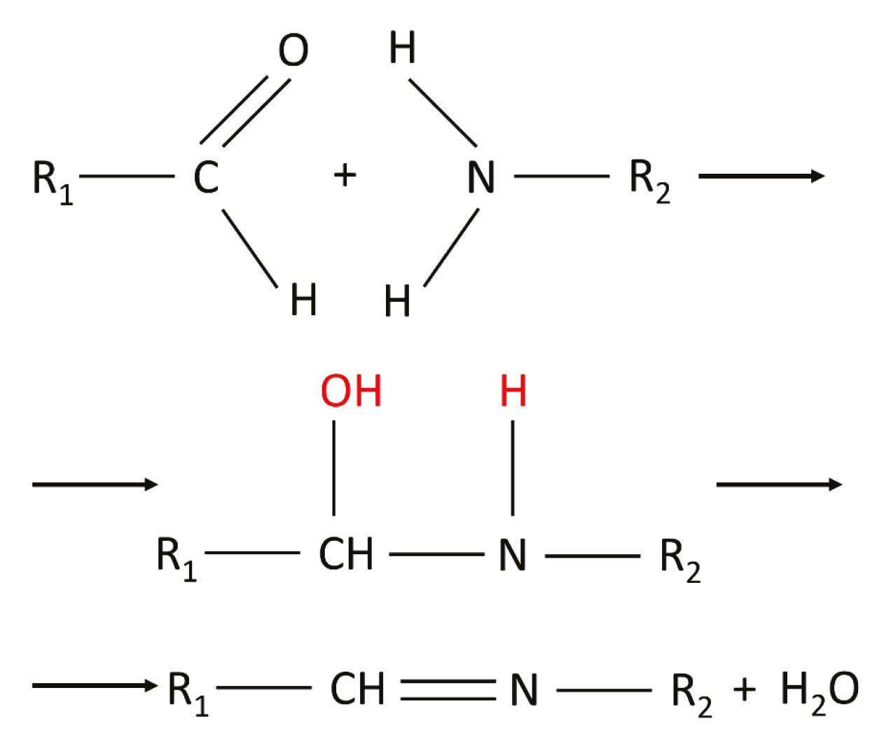
С целью получения барьерных мембран коллагеновые волокна извлекают из эпидермиса, сухожилий и кишечника, затем их обрабатывают путем децеллюляризации, сшивания и стерилизации. В настоящее время есть множество способов сшивания, в том числе ультрафиолетовое облучение, а также химическая обработка с использованием глутаральдегида по механизму нуклеофильного присоединения (рис. 2).
Рис. 2. Схема реакции нуклеофильного присоединения.
Для химической обработки также используют водорастворимый карбодиимид и генипин. Данная химическая сшивка повышает устойчивость к гидролизу. Как следствие, были разработаны мембраны, которые могут сохраняться в течение шести месяцев в организме человека [13–15].
Однако остаточные химические сшивающие агенты проблематичны для клинического использования из-за их потенциальной токсичности, которая обусловливает воспалительные процессы и нарушает жизнедеятельность клеток. Сшивание структур в определённой степени способствует улучшению механических свойств, однако низкая жёсткость делает коллагеновые мембраны неидеальными. Поэтому они лучше подходят для применения в областях, к которым можно легко получить доступ [16].
К отрицательным характеристикам коллагеновых мембран относится также быстрая резорбция. Для её предотвращения используют перекрёстные связывания с применением веществ-фиксаторов (глутаральдегида, формальдегида или фермента — в зависимости от конечного продукта). С помощью данных веществ становится возможен контроль времени резорбции. Однако наличие цитотоксических свойств у некоторых фиксаторов (например, у глутаральдегида) ограничивает их применение [17].
Коллагеновые мембраны могут быть зафиксированы с помощью пинов или швов с целью предупредить их подвижность в послеоперационном периоде.
Богатый тромбоцитами фибрин (волокно) (platelet-rich fibrin, PRF) получают методом плазмафереза из концентрата тромбоцитов крови пациента посредством её центрифугирования [18–20].
Фибриновая мембрана способна активно стимулировать рост костной и мягких тканей пациента за счёт того, что в её состав входит обильное количество лейкоцитов и факторов роста клеток, которые выстилают стенки сосудов. Благодаря этому использование PRF-мембраны стало настоящим прорывом в хирургической стоматологии [18, 20].
Тем не менее одним из основных недостатков PRF является его более быстрая, чем оптимальная, скорость резорбции, характеризующаяся временным интервалом 2–3 нед. Из-за своей быстрой скорости резорбции PRF-мембраны не способны изолировать мягкие ткани в течение длительного периода времени, следовательно, они не могут использоваться в качестве барьерной мембраны, подобной коллагену [18–20].
БИОСОВМЕСТИМОСТЬ И ОСТЕОИНТЕГРАЦИЯ МЕМБРАН
Биотолерантные материалы не обусловливают адгезию белков и клеток костной ткани на своей поверхности, следовательно, между ними отсутствует физико-химическая связь. Это приводит к формированию соединительнотканной или фиброзной капсулы вокруг имплантата [1, 21–23].
Биоактивные небиологические материалы при контакте с костной тканью становятся частью ионного обмена и её метаболизма. Таким образом, костная ткань частично или полностью замещает биоактивные небиологические материалы в процессе регенерации.
Кальций-фосфатные материалы представляют собой аналоги минеральной основы костной ткани и при контакте с ней стимулируют остеогенез. Однако во время соединения с живыми тканями происходит их частичная или полная биодеградация [24, 25]. В кислой среде ионы Ca2+ способны замещаться ионами H+ (отрицательный изоморфизм):
.
Ввиду того, что протоны (катионы водорода H+) во много раз меньше катионов кальция, это приводит к разрушению кристалла гидроксиапатита в кислой среде:
.
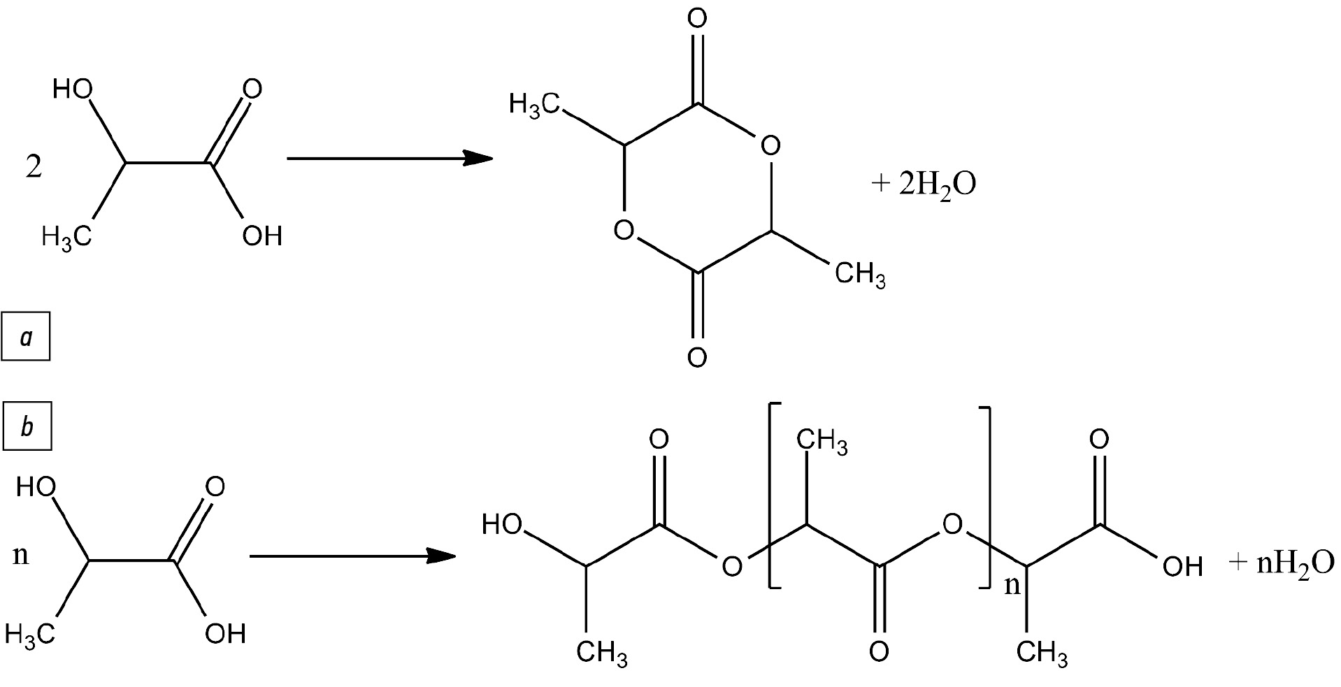
Полимеры молочной и гликолевой кислот (гидроксикислоты) активно применяют в качестве резорбируемых мембран. Полимолочная кислота (polylactic acid, PLA) (рис. 3) — это термопластичный биоразлагаемый полимер. Молочную кислоту получают из таких источников, как кукурузный крахмал и сахарный тростник [26].
Рис. 3. Реакции синтеза на основе молочной кислоты: а — синтез циклического лактида молочной кислоты; b — синтез полимолочной кислоты.
В структурной формуле CH3–CHOH–COOH имеется хиральный центр (асимметрический атом углерода C*, у которого все 4 заместителя разные), что объясняет образование оптических изомеров L- и D-рядов (рис. 4). Поэтому структура молочной кислоты приводит к образованию PLA в различных формах, включая поли-L-молочную кислоту (PLLA) и поли-DL-молочную кислоту (PDLLA), являющихся стереоизомерами (энантиомерами) [4].
Рис. 4. Оптические изомеры молочной кислоты: а — D-изомер; b — L-изомер; * асимметричность атома углерода.
Стереоспецифичность является фундаментальным свойством сложных структур живых тканей и химических процессов, протекающих в них. По некоторым оценкам, 15% всех синтетических лекарственных средств представлены энантиомерами. Синтетические лекарственные средства чаще всего более доступны в виде рацематов (равной смеси L- и D-изомеров). Получение их в виде одиночных стереоизомеров приводит к значительному росту стоимости лекарства, что обусловлено значительными материальными затратами, направленными на разделение рацемических смесей на оптически активные изомеры. По химическим свойствам энантиомеры не различаются, но различаются по кристалличности и механическим характеристикам, что делает PLA пригодным для применения в качестве медицинских имплантатов. Изменение структуры влияет на скорость гидролиза и механическую прочность рассасывающейся барьерной мембраны. Следует отметить, что полимеры, получаемые на основе CH2OH–COOH (гликолевой кислоты), подвергаются более быстрому гидролизу в организме человека, чем PLA. Кроме того, данная кислота не имеет центра хиральности, поэтому не может иметь оптические изомеры, что уменьшает возможность её использования в медицинской практике [4].
Полилактид и полигликолид удовлетворяют условиям 3D-принтинга методом послойного наплавления, что способствует индивидуализации создания биосовместимых мембран для того или иного пациента [1].
На наш взгляд, исходя из химической структуры, наиболее востребованными должны быть мембраны на основе молочной кислоты. Это связано, во-первых, с экологически чистым источником получения данной кислоты и, во-вторых, с химической структурой молекулы (стереорегулярный полимер).
Композиционные мембраны на основе высокомолекулярного полиэтилена с минеральными наполнителями (гидроксиапатитом и гидроксидом кальция) применяют для остеопластики дефектов и возмещения объёма костной ткани (рис. 5) [27, 28].
Рис. 5. Взаиморасположение костной ткани, гидроксиапатита и полиэтиленового слоя, входящего в состав мембраны.
Барьерные мембраны выполняют не только разделительную, но и армирующую функцию, поскольку они способствуют фиксации костно-пластического материала в правильном положении [29, 30].
ЗАКЛЮЧЕНИЕ
Мы сравнили химическую структуру различных типов барьерных мембран и пришли к выводу, что нерезорбируемые мембраны обладают следующими преимуществами: они осуществляют барьерную функцию, не подвергаются деформации и предотвращают уменьшение объёма пространства под мембраной в течение заданного периода времени. Главным недостатком является необходимость проведения повторного хирургического вмешательства для их извлечения.
Важнейшее преимущество резорбируемых мембран заключается в том, что что они подвержены рассасыванию после фиксации к тканям пародонта. За счёт этого отсутствует необходимость повторного посещения пациента для удаления мембраны. Однако недостатком рассасывающихся мембран является относительно быстрая скорость резорбции. Чтобы избежать этого, применяют различные сшивающие агенты. В то же время данные агенты сохраняются после резорбции мембраны и вследствие своей потенциальной токсичности могут обусловливать воспалительные заболевания пародонта.
В современной пародонтологии одной из ключевых задач в области направленной регенерации тканей является разработка инновационных материалов. Эти материалы должны обладать высокой степенью биосовместимости и объединять в себе свойства нерезорбируемых и резорбируемых мембран. Основными требованиями к нерассасывающимся мембранам являются отсутствие деформаций и постоянство объёма живых тканей под мембраной, а к рассасывающимся –– соответствие запланированному сроку биодеградации.
Полагаем, что в текущих условиях рассасывающиеся мембраны наилучшим образом соответствуют требованиям. В качестве перспективных материалов для производства подобных мембран потенциально могут использоваться полилактид и полигликолид.
ДОПОЛНИТЕЛЬНАЯ ИНФОРМАЦИЯ
Вклад авторов. Г.Е. Бордина — разработка концепции и дизайна исследования, анализ литературных источников, общее редактирование текста рукописи; Н.П. Лопина — обзор литературы и научное редактирование статьи; А.А. Андреев — подготовка и написание текста статьи; И.А. Некрасов — сбор литературных источников и анализ полученных данных; В.А. Осокин — получение фактических данных, подготовка и написание текста рукописи. Все авторы одобрили рукопись (версию для публикации), а также согласились нести ответственность за все аспекты работы, гарантируя надлежащее рассмотрение и решение вопросов, связанных с точностью и добросовестностью любой её части.
Этическая экспертиза. Неприменимо (статья является обзором литературы).
Источники финансирования. Отсутствуют.
Раскрытие интересов. Авторы заявляют об отсутствии отношений, деятельности и интересов за последние три года, связанных с третьими лицами (коммерческими и некоммерческими), интересы которых могут быть затронуты содержанием статьи.
Оригинальность. При создании настоящей работы авторы не использовали ранее опубликованные сведения (текст, иллюстрации, данные).
Доступ к данным. Все данные, полученные в настоящем исследовании, доступны в статье.
Генеративный искусственный интеллект. При создании настоящей статьи технологии генеративного искусственного интеллекта не использовали.
Рассмотрение и рецензирование. Настоящая работа подана в журнал в инициативном порядке и рассмотрена по ускоренной процедуре. В рецензировании участвовали два внешних рецензента, член редакционной коллегии и научный редактор издания.
ADDITIONAL INFORMATION
Author contributions: G.E. Bordina: conceptualization, methodology, investigation, writing — review & editing; N.P. Lopina: investigation, writing — review & editing; A.A. Andreev: writing — original draft; I.A. Nekrasov: investigation, data analysis; V.A. Osokin: acquisition of factual data, writing — original draft. All the authors approved the final version of the manuscript for publication and agreed to be accountable for all aspects of the work, ensuring that questions related to the accuracy or integrity of any part of the work are appropriately investigated and resolved.
Ethics approval: Not applicable.
Funding sources: No funding.
Disclosure of interests: The authors have no relationships, activities, or interests for the last three years related to for-profit or not-for-profit third parties whose interests may be affected by the content of the article.
Statement of originality: No previously published material (text, images, or data) was used in this study or article.
Data availability statement: All data obtained in this study are available in this article.
Generative AI: No generative artificial intelligence technologies were used to prepare this article.
Provenance and peer review: This paper was submitted unsolicited and reviewed following the fast-track procedure. The peer review process involved two external reviewers, a member of the Editorial Board, and the in-house scientific editor.
About the authors
Galina E. Bordina
Tver State Medical University
Author for correspondence.
Email: gbordina@yandex.ru
ORCID iD: 0000-0001-6375-7981
SPIN-code: 1313-2983
Cand. Sci. (Biology), Associate Professor
Russian Federation, TverNadezhda P. Lopina
Tver State Medical University
Email: n.lopina@internet.ru
ORCID iD: 0000-0002-7213-1531
SPIN-code: 1216-3570
Cand. Sci. (Chemistry), Professor
Russian Federation, TverAlexey A. Andreev
Tver State Medical University
Email: aandreev01@yandex.ru
ORCID iD: 0000-0002-1012-9356
Russian Federation, Tver
Ilya A. Nekrasov
Tver State Medical University
Email: ilya.nekrasov.01@bk.ru
ORCID iD: 0009-0007-1830-7069
Russian Federation, Tver
Vasiliy A. Osokin
Tver State Medical University
Email: osokin-mailbox@mail.ru
ORCID iD: 0009-0000-8325-9314
Russian Federation, Tver
References
- Zhang J, Tong D, Song H, et al. Osteoimmunity-regulating biomimetically hierarchical scaffold for augmented bone regeneration. Adv Mater. 2022;34(36):e2202044. doi: 10.1002/adma.202202044 EDN: DRPHSJ
- Ayari H. The use of periodontal membranes in the field of periodontology: spotlight on collagen membranes. J Appl Biomed. 2022;20(4):154–162. doi: 10.32725/jab.2022.020 EDN: BFBWGB
- Ren Y, Fan L, Alkildani S, et al. Barrier membranes for Guided Bone Regeneration (GBR): A focus on recent advances in collagen membranes. Int J Mol Sci. 2022;23(23):14987. doi: 10.3390/ijms232314987 EDN: CYMZLD
- Nechaev AP, Bolotov VM, Komarova EV, Savvin PN. Organic chemistry: textbook. Moscow: Izdatel’stvo ‘LAN’’; 2024. 698 p. (In Russ.) ISBN: 978-5-507-48181-1
- Ma Y, Yan X. Periodontal guided tissue regeneration membranes: limitations and possible solutions for the bottleneck analysis. Tissue Eng Part B Rev. 2023;29(5):532–544. doi: 10.1089/ten.TEB.2023.0040
- Levine RA, Lai PC, Manji A, et al. Implant site development using titanium mesh in the maxilla: a retrospective study of 58 mesh procedures in 48 patients. Int J Periodontics Restorative Dent. 2022;42(1):43–51. doi: 10.11607/prd.5530 EDN: ZKBYWV
- Li J, Ahmed A, Degrande T, et al. Histological evaluation of titanium fiber mesh-coated implants in a rabbit femoral condyle model. Dent Mater. 2022;38(4):613–621. doi: 10.1016/j.dental.2021.12.135 EDN: FFQQWF
- Mateo-Sidrón Antón MC, Pérez-González F, Meniz-García C. Titanium mesh for guided bone regeneration: a systematic review. Br J Oral Maxillofac Surg. 2024;62(5):433–440. doi: 10.1016/j.bjoms.2024.04.005
- Bokobza A, Nicot R, Raoul G, et al. Management of postoperative outcomes of polytetrafluoroethylene membranes in alveolar ridge reconstruction: a systematic review. J Stomatol Oral Maxillofac Surg. 2023;124(6S):101641. doi: 10.1016/j.jormas.2023.101641 EDN: LMYOON
- Yotsova RV. Socket preservation using dense polytetrafluoroethylene membranes and platelet-rich plasma. Cureus. 2024;16(10):e72265. doi: 10.7759/cureus.72265 EDN: ZCFVAE
- Urban IA, Saleh MHA, Ravidà A, et al. Vertical bone augmentation utilizing a titanium-reinforced PTFE mesh: A multi-variate analysis of influencing factors. Clin Oral Implants Res. 2021;32(7):828–839. doi: 10.1111/clr.13755 EDN: POCBJY
- Nashhekina JuA, Lukonina OA, Mihajlova NA. Chemical crosslinkers for collagen: mechanisms of interaction and potential for use in regenerative medicine. Tsitologiya. 2020;62(7):459–472. doi: 10.31857/S0041377120070044 EDN: LXSAMR
- Quan BD, Sadeghi R, Ikeda Y, et al. Screening of functionalized collagen membranes with a porcine periodontal regeneration model. Oral Dis. 2023;29(7):2845–2853. doi: 10.1111/odi.14445 EDN: BKCJLP
- Janjić K, Agis H, Moritz A, et al. Effects of collagen membranes and bone substitute differ in periodontal ligament cell microtissues and monolayers. J Periodontol. 2022;93(5):697–708. doi: 10.1002/JPER.21-0225 EDN: YAVXNS
- Li M, Cheng G, Xiao S, et al. Biomimetic mineralized hydroxyapatite-fish-scale collagen/chitosan nanofibrous membranes promote osteogenesis for periodontal tissue regeneration. ACS Biomater Sci Eng. 2024;10(8):5108–5121. doi: 10.1021/acsbiomaterials.4c00569 EDN: ZYDOSN
- Shenoy M, Abdul NS, Qamar Z, et al. Collagen structure, synthesis, and its applications: a systematic review. Cureus. 2022;14(5):e24856. doi: 10.7759/cureus.24856 EDN: QGRRDI
- Zhou T, Chen S, Ding X, et al. Fabrication and characterization of collagen/PVA dual-layer membranes for periodontal bone regeneration. Front Bioeng Biotechnol. 2021;9:630977. doi: 10.3389/fbioe.2021.630977 EDN: IZXBQN
- Imani A, Panahipour L, Kühtreiber H, et al. RNAseq of gingival fibroblasts exposed to PRF membrane lysates and PRF serum. Cells. 2024;13(15):1308. doi: 10.3390/cells13151308 EDN: CBLVUY
- Miron RJ, Moraschini V, Fujioka-Kobayashi M, et al. Use of platelet-rich fibrin for the treatment of periodontal intrabony defects: a systematic review and meta-analysis. Clin Oral Investig. 2021;25(5):2461–2478. doi: 10.1007/s00784-021-03825-8 EDN: NQYDZH
- Miron RJ, Pikos MA, Estrin NE, et al. Extended platelet-rich fibrin. Periodontol 2000. 2024;94(1):114–130. doi: 10.1111/prd.12537 EDN: YRLKZG
- Sasaki JI, Abe GL, Li A, et al. Barrier membranes for tissue regeneration in dentistry. Biomater Investig Dent. 2021;8(1):54–63. doi: 10.1080/26415275.2021.1925556 EDN: RRXHCU
- Sbricoli L, Guazzo R, Annunziata M, et al. Selection of collagen membranes for bone regeneration: a literature review. Materials (Basel). 2020;13(3):786. doi: 10.3390/ma13030786 EDN: RJDPRY
- Mizraji G, Davidzohn A, Gursoy M, et al. Membrane barriers for guided bone regeneration: An overview of available biomaterials. Periodontol 2000. 2023;93(1):56–76. doi: 10.1111/prd.12502 EDN: DKJVXY
- Venkatesan N, Lavu V, Balaji SK. Clinical efficacy of amniotic membrane with biphasic calcium phosphate in guided tissue regeneration of intrabony defects — a randomized controlled clinical trial. Biomater Res. 2021;25(1):15. doi: 10.1186/s40824-021-00217-7 EDN: NXENBM
- Kouhi M, Yousefi S, Sajadi-Javan ZS, et al. Calcium phosphate grafts combined with guided tissue regeneration in the treatment of periodontal bony defects — a systematic review and meta-analysis. J Evid Based Dent Pract. 2024;24(4):102022. doi: 10.1016/j.jebdp.2024.102022 EDN: VPESQM
- Varghese J, Rajagopal A, Shanmugasundaram S. Role of biomaterials used for periodontal tissue regeneration — a concise evidence-based review. Polymers (Basel). 2022;14(15):3038. doi: 10.3390/polym14153038 EDN: SPRCJZ
- Zhang M, Zhou Z, Yun J, et al. Effect of different membranes on vertical bone regeneration: a systematic review and network meta-analysis. Biomed Res Int. 2022;2022:7742687. doi: 10.1155/2022/7742687 EDN: NJDMLS
- Ming P, Rao P, Wu T, et al. Biomimetic design and fabrication of sericin-hydroxyapatite based membranes with osteogenic activity for periodontal tissue regeneration. Front Bioeng Biotechnol. 2022;10:899293. doi: 10.3389/fbioe.2022.899293 EDN: OLFYCP
- Chen E, Wang T, Sun Z, et al. Polyphenols-based intelligent oral barrier membranes for periodontal bone defect reconstruction. Regen Biomater. 2024;11:rbae058. doi: 10.1093/rb/rbae058 EDN: JGOATH
- Huang L, Wu T, Sun J, et al. Biocompatible chitin-based Janus hydrogel membranes for periodontal repair. Acta Biomater. 2024;190:219–232. doi: 10.1016/j.actbio.2024.10.038 EDN: NHECRR
Supplementary files









